(3aR,5S,5aS,8S,8aS,9aR)-8-hydroxy-8a-(hydroxymethyl)-5-methyl-1-methylidene-4,5,5a,6,7,8,9,9a-octahydro-3aH-azuleno[6,5-b]furan-2-one

(3aR,5S,5aS,8S,8aS,9aR)-8-hydroxy-8a-(hydroxymethyl)-5-methyl-1-methylidene-4,5,5a,6,7,8,9,9a-octahydro-3aH-azuleno[6,5-b]furan-2-one 基本信息
CAS号 76467-15-7 分子式 C15H22O4
分子量 266.33300 精确质量  266.15200
PSA  N/A LogP  N/A

合成路线 1

  • 5762-56-1

    三(二甲氨基)甲烷

  • +

  • 107163-97-3

    107163-97-3

  • 76467-15-7

    (3aR,5S,5aS,8S,8aS,9aR)-8-hydroxy-8a-(hydroxymethyl)-5-methyl-1-methylidene-4,5,5a,6,7,8,9,9a-octahydro-3aH-azuleno[6,5-b]furan-2-one

  • 107163-93-9

    107163-93-9

  • 76467-15-7

    (3aR,5S,5aS,8S,8aS,9aR)-8-hydroxy-8a-(hydroxymethyl)-5-methyl-1-methylidene-4,5,5a,6,7,8,9,9a-octahydro-3aH-azuleno[6,5-b]furan-2-one

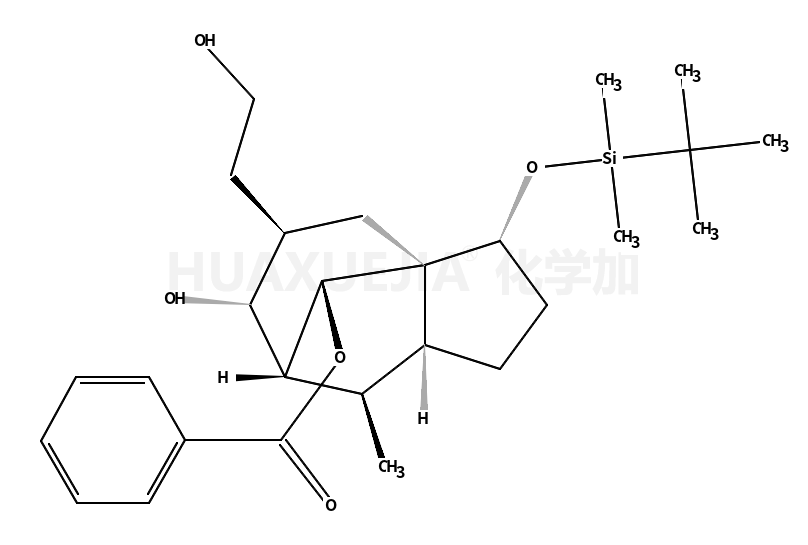
  • 107195-06-2

    (3S,3aR,5S,6S,7S,8S,8aR,9S)-3-((tert-butyldimethylsilyl)oxy)-5-(2-((tert-butyldimethylsilyl)oxy)ethyl)-6-hydroxy-8-methyloctahydro-1H-3a,7-methanoazulen-9-yl benzoate

  • 76467-15-7

    (3aR,5S,5aS,8S,8aS,9aR)-8-hydroxy-8a-(hydroxymethyl)-5-methyl-1-methylidene-4,5,5a,6,7,8,9,9a-octahydro-3aH-azuleno[6,5-b]furan-2-one

  • 107164-02-3

    107164-02-3

  • 76467-15-7

    (3aR,5S,5aS,8S,8aS,9aR)-8-hydroxy-8a-(hydroxymethyl)-5-methyl-1-methylidene-4,5,5a,6,7,8,9,9a-octahydro-3aH-azuleno[6,5-b]furan-2-one

  • 107195-05-1

    107195-05-1

  • 76467-15-7

    (3aR,5S,5aS,8S,8aS,9aR)-8-hydroxy-8a-(hydroxymethyl)-5-methyl-1-methylidene-4,5,5a,6,7,8,9,9a-octahydro-3aH-azuleno[6,5-b]furan-2-one

  • 107164-01-2

    107164-01-2

  • 76467-15-7

    (3aR,5S,5aS,8S,8aS,9aR)-8-hydroxy-8a-(hydroxymethyl)-5-methyl-1-methylidene-4,5,5a,6,7,8,9,9a-octahydro-3aH-azuleno[6,5-b]furan-2-one

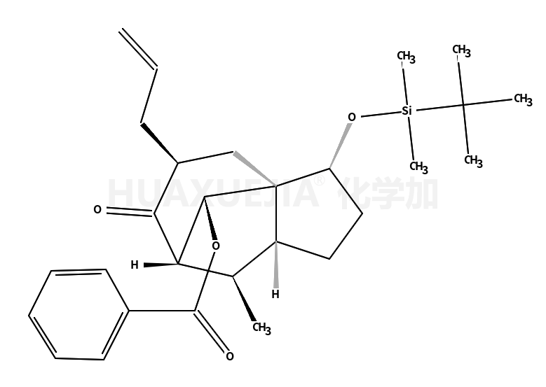
  • 107173-83-1

    (3S,3aR,7R,8S,8aR,9S)-3-((tert-butyldimethylsilyl)oxy)-8-methyl-6-oxooctahydro-1H-3a,7-methanoazulen-9-yl benzoate

  • 76467-15-7

    (3aR,5S,5aS,8S,8aS,9aR)-8-hydroxy-8a-(hydroxymethyl)-5-methyl-1-methylidene-4,5,5a,6,7,8,9,9a-octahydro-3aH-azuleno[6,5-b]furan-2-one

  • 107163-94-0

    ((3S,3aR,5S,8R,8aR)-3-((tert-butyldimethylsilyl)oxy)-5-(2-((tert-butyldimethylsilyl)oxy)ethyl)-8-methyl-1,2,3,3a,4,5,8,8a-octahydroazulen-3a-yl)methanol

  • 76467-15-7

    (3aR,5S,5aS,8S,8aS,9aR)-8-hydroxy-8a-(hydroxymethyl)-5-methyl-1-methylidene-4,5,5a,6,7,8,9,9a-octahydro-3aH-azuleno[6,5-b]furan-2-one

  • 107163-95-1

    107163-95-1

  • 76467-15-7

    (3aR,5S,5aS,8S,8aS,9aR)-8-hydroxy-8a-(hydroxymethyl)-5-methyl-1-methylidene-4,5,5a,6,7,8,9,9a-octahydro-3aH-azuleno[6,5-b]furan-2-one

  • 107163-96-2

    107163-96-2

  • 76467-15-7

    (3aR,5S,5aS,8S,8aS,9aR)-8-hydroxy-8a-(hydroxymethyl)-5-methyl-1-methylidene-4,5,5a,6,7,8,9,9a-octahydro-3aH-azuleno[6,5-b]furan-2-one

  • 107164-03-4

    107164-03-4

  • 76467-15-7

    (3aR,5S,5aS,8S,8aS,9aR)-8-hydroxy-8a-(hydroxymethyl)-5-methyl-1-methylidene-4,5,5a,6,7,8,9,9a-octahydro-3aH-azuleno[6,5-b]furan-2-one

  • 107163-92-8

    107163-92-8

  • 76467-15-7

    (3aR,5S,5aS,8S,8aS,9aR)-8-hydroxy-8a-(hydroxymethyl)-5-methyl-1-methylidene-4,5,5a,6,7,8,9,9a-octahydro-3aH-azuleno[6,5-b]furan-2-one

  • 107173-84-2

    107173-84-2

  • 76467-15-7

    (3aR,5S,5aS,8S,8aS,9aR)-8-hydroxy-8a-(hydroxymethyl)-5-methyl-1-methylidene-4,5,5a,6,7,8,9,9a-octahydro-3aH-azuleno[6,5-b]furan-2-one

  • 107173-82-0

    (Z)-tert-butyl((1-(2-methoxyphenyl)hex-4-en-1-yl)oxy)dimethylsilane

  • 76467-15-7

    (3aR,5S,5aS,8S,8aS,9aR)-8-hydroxy-8a-(hydroxymethyl)-5-methyl-1-methylidene-4,5,5a,6,7,8,9,9a-octahydro-3aH-azuleno[6,5-b]furan-2-one

  • 107164-00-1

    107164-00-1

  • 76467-15-7

    (3aR,5S,5aS,8S,8aS,9aR)-8-hydroxy-8a-(hydroxymethyl)-5-methyl-1-methylidene-4,5,5a,6,7,8,9,9a-octahydro-3aH-azuleno[6,5-b]furan-2-one

  • 107163-99-5

    107163-99-5

  • 76467-15-7

    (3aR,5S,5aS,8S,8aS,9aR)-8-hydroxy-8a-(hydroxymethyl)-5-methyl-1-methylidene-4,5,5a,6,7,8,9,9a-octahydro-3aH-azuleno[6,5-b]furan-2-one

  • 107163-90-6

    107163-90-6

  • 76467-15-7

    (3aR,5S,5aS,8S,8aS,9aR)-8-hydroxy-8a-(hydroxymethyl)-5-methyl-1-methylidene-4,5,5a,6,7,8,9,9a-octahydro-3aH-azuleno[6,5-b]furan-2-one

  • 107163-88-2

    107163-88-2

  • 76467-15-7

    (3aR,5S,5aS,8S,8aS,9aR)-8-hydroxy-8a-(hydroxymethyl)-5-methyl-1-methylidene-4,5,5a,6,7,8,9,9a-octahydro-3aH-azuleno[6,5-b]furan-2-one

  • 4634-89-3

    (Z)-己-4-烯醛

  • 76467-15-7

    (3aR,5S,5aS,8S,8aS,9aR)-8-hydroxy-8a-(hydroxymethyl)-5-methyl-1-methylidene-4,5,5a,6,7,8,9,9a-octahydro-3aH-azuleno[6,5-b]furan-2-one

  • 928-93-8

    4-己炔-1-醇

  • 76467-15-7

    (3aR,5S,5aS,8S,8aS,9aR)-8-hydroxy-8a-(hydroxymethyl)-5-methyl-1-methylidene-4,5,5a,6,7,8,9,9a-octahydro-3aH-azuleno[6,5-b]furan-2-one

  • 928-91-6

    顺-4-己烯-1-醇

  • 76467-15-7

    (3aR,5S,5aS,8S,8aS,9aR)-8-hydroxy-8a-(hydroxymethyl)-5-methyl-1-methylidene-4,5,5a,6,7,8,9,9a-octahydro-3aH-azuleno[6,5-b]furan-2-one