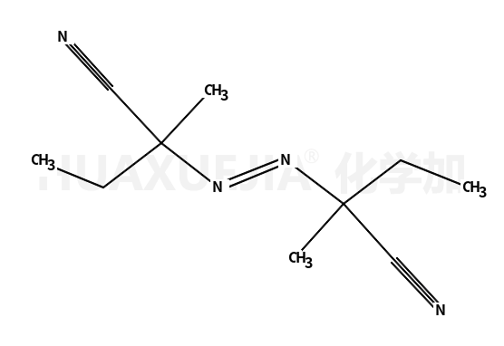
偶氮二异戊腈

偶氮二异戊腈 基本信息
CAS号 13472-08-7 分子式 C10H16N4
分子量 192.26100 精确质量  192.13700
PSA  N/A LogP  N/A

合成路线 1

  • 171915-82-5

    171915-82-5

  • ~92%

  • 13472-08-7

    偶氮二异戊腈

  • 4475-95-0

    (DL)-2-氨基-2-甲基丁腈

  • 13472-08-7

    偶氮二异戊腈

  • 16248-72-9

    Butanenitrile, 2-(dichloroamino)-2-methyl-

  • 13472-08-7

    偶氮二异戊腈