欢迎来到化学加!萃聚英才,共享化学!化学加,加您更精彩!
首页
注册入驻
网站资讯
化学加_合成化学产业资源聚合服务平台
www.huaxuejia.cn
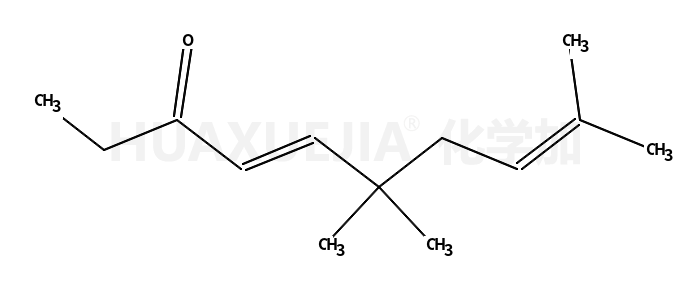
6,6,9-trimethyldeca-4,8-dien-3-one
6,6,9-trimethyldeca-4,8-dien-3-one 基本信息
CAS号
152481-68-0
分子式
C13H22O
分子量
194.31300
精确质量
194.16700
PSA
N/A
LogP
N/A
合成路线
共
1
页
1000-30-2
青草醛
+
78-93-3
2-丁酮
→
~28%
152481-68-0
6,6,9-trimethyldeca-4,8-dien-3-one
合成路线