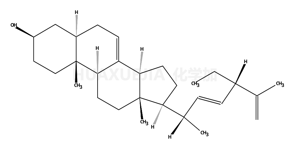
(3S,5S,9R,10S,13R,14R,17R)-17-[(2R,3E,5R)-5-ethyl-6-methylhepta-3,6-dien-2-yl]-10,13-dimethyl-2,3,4,5,6,9,11,12,14,15,16,17-dodecahydro-1H-cyclopenta[a]phenanthren-3-ol

(3S,5S,9R,10S,13R,14R,17R)-17-[(2R,3E,5R)-5-ethyl-6-methylhepta-3,6-dien-2-yl]-10,13-dimethyl-2,3,4,5,6,9,11,12,14,15,16,17-dodecahydro-1H-cyclopenta[a]phenanthren-3-ol 基本信息
CAS号 14485-48-4 分子式 C29H46O
分子量 410.67500 精确质量  410.35500
PSA  N/A LogP  N/A

合成路线 1

  • 26046-49-1

    26046-49-1

  • 14485-48-4

    (3S,5S,9R,10S,13R,14R,17R)-17-[(2R,3E,5R)-5-ethyl-6-methylhepta-3,6-dien-2-yl]-10,13-dimethyl-2,3,4,5,6,9,11,12,14,15,16,17-dodecahydro-1H-cyclopenta[a]phenanthren-3-ol

  • 34991-30-5

    (3S,5S,9R,10S,13R,14R,17R)-17-((2R,6R,E)-7-(dimethylamino)-5-ethyl-6-methyl-7-oxohept-3-en-2-yl)-10,13-dimethyl-2,3,4,5,6,9,10,11,12,13,14,15,16,17-tetradecahydro-1H-cyclopenta[a]phenanthren-3-yl acetate

  • 14485-48-4

    (3S,5S,9R,10S,13R,14R,17R)-17-[(2R,3E,5R)-5-ethyl-6-methylhepta-3,6-dien-2-yl]-10,13-dimethyl-2,3,4,5,6,9,11,12,14,15,16,17-dodecahydro-1H-cyclopenta[a]phenanthren-3-ol

  • 34991-24-7

    (3S,5S,9R,10S,13R,14R,17R)-17-((2S,3R,E)-3-hydroxyhept-4-en-2-yl)-10,13-dimethyl-2,3,4,5,6,9,10,11,12,13,14,15,16,17-tetradecahydro-1H-cyclopenta[a]phenanthren-3-ol

  • 14485-48-4

    (3S,5S,9R,10S,13R,14R,17R)-17-[(2R,3E,5R)-5-ethyl-6-methylhepta-3,6-dien-2-yl]-10,13-dimethyl-2,3,4,5,6,9,11,12,14,15,16,17-dodecahydro-1H-cyclopenta[a]phenanthren-3-ol

  • 26046-43-5

    26046-43-5

  • 14485-48-4

    (3S,5S,9R,10S,13R,14R,17R)-17-[(2R,3E,5R)-5-ethyl-6-methylhepta-3,6-dien-2-yl]-10,13-dimethyl-2,3,4,5,6,9,11,12,14,15,16,17-dodecahydro-1H-cyclopenta[a]phenanthren-3-ol