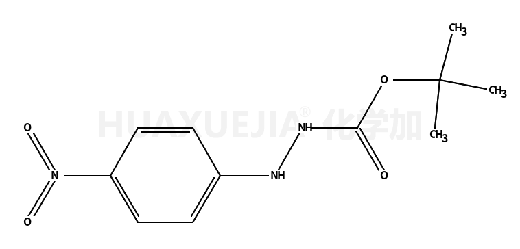
肼基甲酸-o-叔丁基-n-4-硝基苯酯

肼基甲酸-o-叔丁基-n-4-硝基苯酯 基本信息
CAS号 92491-67-3 分子式 C11H15N3O4
分子量 253.25400 精确质量  253.10600
PSA  N/A LogP  N/A

合成路线 1

  • 24424-99-5

    二碳酸二叔丁酯

  • +

  • 100-16-3

    4-硝基苯肼

  • ~87%

  • 92491-67-3

    肼基甲酸-o-叔丁基-n-4-硝基苯酯

  • 105838-14-0

    N-BOC-O-甲苯磺酰羟胺

  • +

  • 100-01-6

    4-硝基苯胺

  • ~73%

  • 92491-67-3

    肼基甲酸-o-叔丁基-n-4-硝基苯酯

  • 1070-19-5

    叔丁基叠氮酸盐

  • +

  • 100-16-3

    4-硝基苯肼

  • 92491-67-3

    肼基甲酸-o-叔丁基-n-4-硝基苯酯

  • 24424-99-5

    二碳酸二叔丁酯

  • 92491-67-3

    肼基甲酸-o-叔丁基-n-4-硝基苯酯

  • 36016-38-3

    N-羟基氨基甲酸叔丁酯

  • 92491-67-3

    肼基甲酸-o-叔丁基-n-4-硝基苯酯

  • 92722-14-0

    Diazenecarboxylic acid, (4-nitrophenyl)-, 1,1-dimethylethyl ester

  • 92491-67-3

    肼基甲酸-o-叔丁基-n-4-硝基苯酯