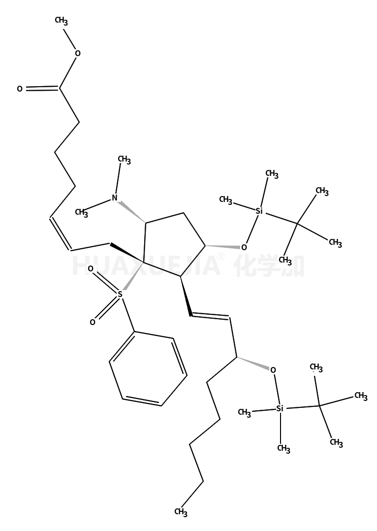
methyl 7-[1-(benzenesulfonyl)-3-[tert-butyl(dimethyl)silyl]oxy-2-[3-[tert-butyl(dimethyl)silyl]oxyoct-1-enyl]-5-(dimethylamino)cyclopentyl]hept-5-enoate

methyl 7-[1-(benzenesulfonyl)-3-[tert-butyl(dimethyl)silyl]oxy-2-[3-[tert-butyl(dimethyl)silyl]oxyoct-1-enyl]-5-(dimethylamino)cyclopentyl]hept-5-enoate 基本信息
CAS号 77506-98-0 分子式 C41H73NO6SSi2
分子量 764.25700 精确质量  763.47000
PSA  N/A LogP  N/A

合成路线 1

  • 41138-67-4

    (1E,3S)-3-t-butyldimethylsilyloxy-1-lithio-octane

  • +

  • 64493-06-7

    methyl 7-iodohept-5-enoate

  • +

  • 77493-70-0

    (1S,4R)-cis-4-(tert-Butyldimethylsiloxy)-1-(dimethylamino)-2-(phenylsulfonyl)-2-cyclopentene

  • 85548-77-2

    Methyl (5Z,13E,8S,9S,11R,12S,15S)-11,15-Bis(tert-butyldimethylsiloxy)-9-(dimethylamino)-8-(phenylsulfonyl)-5,13-prostadienoate

  • +

  • 77506-98-0

    methyl 7-[1-(benzenesulfonyl)-3-[tert-butyl(dimethyl)silyl]oxy-2-[3-[tert-butyl(dimethyl)silyl]oxyoct-1-enyl]-5-(dimethylamino)cyclopentyl]hept-5-enoate

  • +

  • 77494-46-3

    (1S,2S,3S,4R)-cis-4-(tert-Butyldimethylsiloxy)-trans-3-[(E,S)-3'-(tert-butyldimethylsiloxy)-1'-octenyl]-1-(dimethylamino)-trans-2-(phenylsulfonyl)cyclopentane

  • +

  • 77520-22-0

    (1S,2R,3S,4R)-cis-4-(tert-Butyldimethylsiloxy)-trans-3-[(E,S)-3'-(tert-butyldimethylsiloxy)-1'-octenyl]-1-(dimethylamino)-cis-2-(phenylsulfonyl)cyclopentane

  • 51751-83-8

    methyl 7-bromohept-5-enoate

  • +

  • 41138-68-5

    Phenylacetyl-triphenylsilan

  • +

  • 77493-70-0

    (1S,4R)-cis-4-(tert-Butyldimethylsiloxy)-1-(dimethylamino)-2-(phenylsulfonyl)-2-cyclopentene

  • 85548-77-2

    Methyl (5Z,13E,8S,9S,11R,12S,15S)-11,15-Bis(tert-butyldimethylsiloxy)-9-(dimethylamino)-8-(phenylsulfonyl)-5,13-prostadienoate

  • +

  • 77506-98-0

    methyl 7-[1-(benzenesulfonyl)-3-[tert-butyl(dimethyl)silyl]oxy-2-[3-[tert-butyl(dimethyl)silyl]oxyoct-1-enyl]-5-(dimethylamino)cyclopentyl]hept-5-enoate

  • +

  • 77494-46-3

    (1S,2S,3S,4R)-cis-4-(tert-Butyldimethylsiloxy)-trans-3-[(E,S)-3'-(tert-butyldimethylsiloxy)-1'-octenyl]-1-(dimethylamino)-trans-2-(phenylsulfonyl)cyclopentane

  • +

  • 77520-22-0

    (1S,2R,3S,4R)-cis-4-(tert-Butyldimethylsiloxy)-trans-3-[(E,S)-3'-(tert-butyldimethylsiloxy)-1'-octenyl]-1-(dimethylamino)-cis-2-(phenylsulfonyl)cyclopentane

  • 64493-06-7

    methyl 7-iodohept-5-enoate

  • +

  • 41138-68-5

    Phenylacetyl-triphenylsilan

  • +

  • 77493-70-0

    (1S,4R)-cis-4-(tert-Butyldimethylsiloxy)-1-(dimethylamino)-2-(phenylsulfonyl)-2-cyclopentene

  • 77506-98-0

    methyl 7-[1-(benzenesulfonyl)-3-[tert-butyl(dimethyl)silyl]oxy-2-[3-[tert-butyl(dimethyl)silyl]oxyoct-1-enyl]-5-(dimethylamino)cyclopentyl]hept-5-enoate

  • +

  • 77494-46-3

    (1S,2S,3S,4R)-cis-4-(tert-Butyldimethylsiloxy)-trans-3-[(E,S)-3'-(tert-butyldimethylsiloxy)-1'-octenyl]-1-(dimethylamino)-trans-2-(phenylsulfonyl)cyclopentane

  • 51751-83-8

    methyl 7-bromohept-5-enoate

  • +

  • 41138-68-5

    Phenylacetyl-triphenylsilan

  • +

  • 77493-70-0

    (1S,4R)-cis-4-(tert-Butyldimethylsiloxy)-1-(dimethylamino)-2-(phenylsulfonyl)-2-cyclopentene

  • 77506-98-0

    methyl 7-[1-(benzenesulfonyl)-3-[tert-butyl(dimethyl)silyl]oxy-2-[3-[tert-butyl(dimethyl)silyl]oxyoct-1-enyl]-5-(dimethylamino)cyclopentyl]hept-5-enoate

  • +

  • 77494-46-3

    (1S,2S,3S,4R)-cis-4-(tert-Butyldimethylsiloxy)-trans-3-[(E,S)-3'-(tert-butyldimethylsiloxy)-1'-octenyl]-1-(dimethylamino)-trans-2-(phenylsulfonyl)cyclopentane