欢迎来到化学加!萃聚英才,共享化学!化学加,加您更精彩!
首页
注册入驻
网站资讯
化学加_合成化学产业资源聚合服务平台
www.huaxuejia.cn
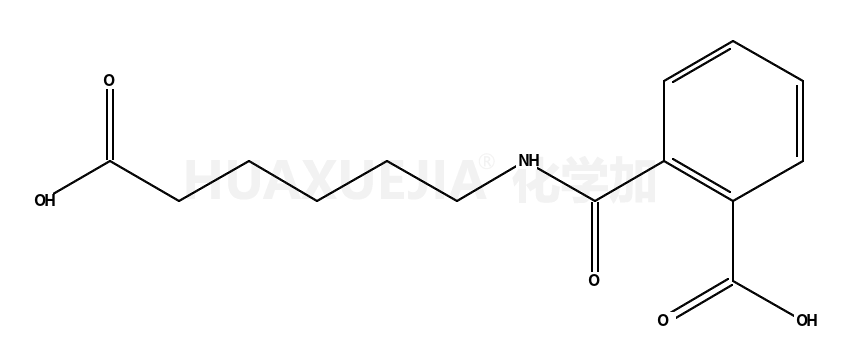
苯甲酸, 2-[[(5-羧基戊基)氨基]羰基]-
苯甲酸, 2-[[(5-羧基戊基)氨基]羰基]- 基本信息
CAS号
101509-46-0
分子式
C14H17NO5
分子量
279.28800
精确质量
279.11100
PSA
N/A
LogP
N/A
合成路线
共
1
页
60-32-2
6-氨基己酸
→
101509-46-0
苯甲酸, 2-[[(5-羧基戊基)氨基]羰基]-
85-44-9
苯酐
→
101509-46-0
苯甲酸, 2-[[(5-羧基戊基)氨基]羰基]-
4443-26-9
ω-酞酰亚胺己酸
→
101509-46-0
苯甲酸, 2-[[(5-羧基戊基)氨基]羰基]-
合成路线