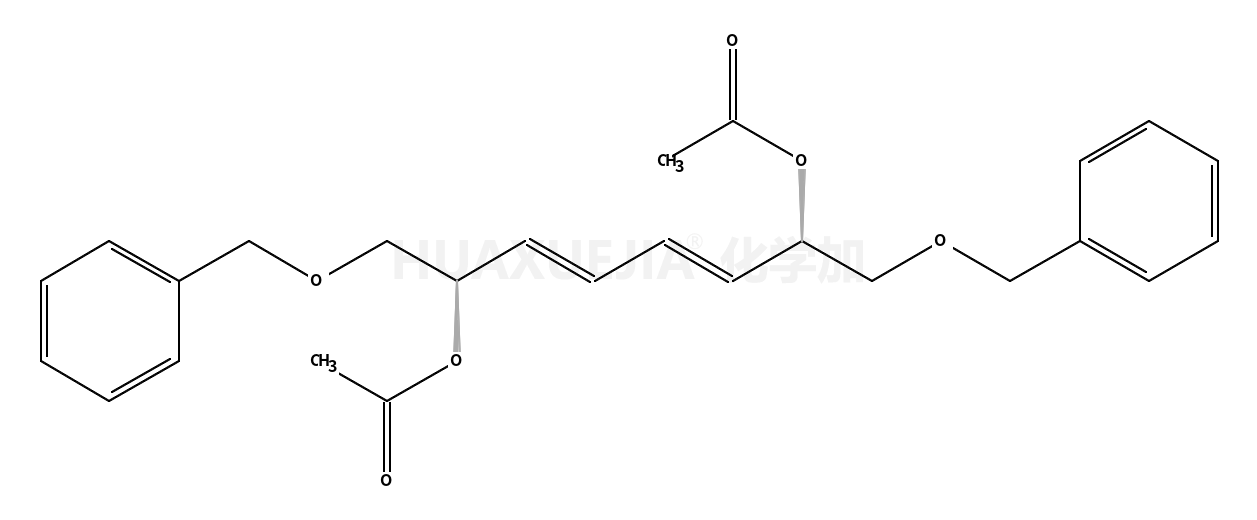
(2R,7R)-2,7-di-O-acetyl-1,8-di-O-benzyl-23,5E-octadiene-1,2,7,8-tetraol

(2R,7R)-2,7-di-O-acetyl-1,8-di-O-benzyl-23,5E-octadiene-1,2,7,8-tetraol 基本信息
CAS号 118509-01-6 分子式 C26H30O6
分子量 438.51300 精确质量  438.20400
PSA  N/A LogP  N/A

合成路线 1

  • 118508-99-9

    (4S,5S)-1,8-di-O-benzyl-2E,6E-octadiene-1,4,5,8-tetraol

  • 118509-01-6

    (2R,7R)-2,7-di-O-acetyl-1,8-di-O-benzyl-23,5E-octadiene-1,2,7,8-tetraol

  • 118508-98-8

    (4S,5S)-4,5-O-isopropylidene-1,8-di-O-benzyl-2E,6E-octadiene-1,4,5,8-tetraol

  • 118509-01-6

    (2R,7R)-2,7-di-O-acetyl-1,8-di-O-benzyl-23,5E-octadiene-1,2,7,8-tetraol