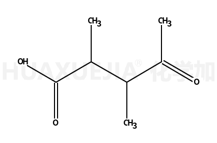
2,3-dimethyl-4-oxopentanoic acid

2,3-dimethyl-4-oxopentanoic acid 基本信息
CAS号 526-79-4 分子式 C7H12O3
分子量 144.16800 精确质量  144.07900
PSA  N/A LogP  N/A

合成路线 1

  • 7647-01-0

    氯化氢

  • +

  • 100316-03-8

    2-acetyl-2,3-dimethyl-succinic acid diethyl ester

  • 526-79-4

    2,3-dimethyl-4-oxopentanoic acid

  • 7647-01-0

    氯化氢

  • +

  • 854831-79-1

    methyl-(1-methyl-2-oxo-propyl)-malonic acid diethyl ester

  • 526-79-4

    2,3-dimethyl-4-oxopentanoic acid

  • 854831-79-1

    methyl-(1-methyl-2-oxo-propyl)-malonic acid diethyl ester

  • 526-79-4

    2,3-dimethyl-4-oxopentanoic acid

  • 85018-55-9

    Pentanenitrile, 2,3-dimethyl-4-oxo- (9CI)

  • 526-79-4

    2,3-dimethyl-4-oxopentanoic acid

  • 565-62-8

    3-甲基-3-戊烯-2-酮

  • 526-79-4

    2,3-dimethyl-4-oxopentanoic acid

  • 315-22-0

    野百合碱

  • 526-79-4

    2,3-dimethyl-4-oxopentanoic acid

  • +

  • 480-85-3

    1,1'-二氧代环己醇

  • 100316-03-8

    2-acetyl-2,3-dimethyl-succinic acid diethyl ester

  • 526-79-4

    2,3-dimethyl-4-oxopentanoic acid