欢迎来到化学加!萃聚英才,共享化学!化学加,加您更精彩!
首页
注册入驻
网站资讯
化学加_合成化学产业资源聚合服务平台
www.huaxuejia.cn
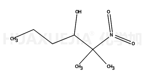
2-methyl-2-nitrohexan-3-ol
2-methyl-2-nitrohexan-3-ol 基本信息
CAS号
20570-69-8
分子式
C7H15NO3
分子量
161.19900
精确质量
161.10500
PSA
N/A
LogP
N/A
合成路线
共
1
页
123-72-8
丁醛
→
20570-69-8
2-methyl-2-nitrohexan-3-ol
79-46-9
2-硝基丙烷
+
123-72-8
丁醛
→
20570-69-8
2-methyl-2-nitrohexan-3-ol
合成路线