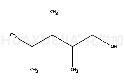
2,3,4-trimethylpentan-1-ol

2,3,4-trimethylpentan-1-ol 基本信息
CAS号 6570-88-3 分子式 C8H18O
分子量 130.22800 精确质量  130.13600
PSA  N/A LogP  N/A

合成路线 1

  • 6570-85-0

    ethyl 2,3,4-trimethylvalerate

  • 6570-88-3

    2,3,4-trimethylpentan-1-ol

  • 6570-81-6

    6570-81-6

  • 6570-88-3

    2,3,4-trimethylpentan-1-ol

  • 6570-82-7

    2,3,4-Trimethyl-pentensaeure-ethylester

  • 6570-88-3

    2,3,4-trimethylpentan-1-ol

  • 563-80-4

    3-甲基-2-丁酮

  • 6570-88-3

    2,3,4-trimethylpentan-1-ol

  • 3601-65-8

    2,3,4-trimethylpentanal

  • 6570-88-3

    2,3,4-trimethylpentan-1-ol