甲羧除草醚

甲羧除草醚 基本信息
CAS号 42576-02-3 分子式 C14H9Cl2NO5
分子量 342.13100 精确质量  340.98600
PSA  81.35000 LogP  5.00370

基本信息 展开↓

CAS号:
42576-02-3
3D弹球模型:
立即前往扯扯看
分子式:
C14H9Cl2NO5
分子量:
342.13100
中文名称:
甲羧除草醚
英文名称:
bifenox
中文别名:
甲羧除草醚;
茅毒;
5-(2,4-二氯苯氧基)-2-硝基苯甲酸甲酯;
治草醚
英文别名:
bifenox;
Methyl 5-(2,4-dichlorophenoxy)-2-nitrobenzoate;
methyl 5-(2,4-dichlorophenoxy)-2-nitrobenzoate;
methyl 5-(2',4'-dichlorophenoxy)-2-nitrobenzoate;
5-(2,4-dichlorophenoxy)-2-nitrobenzoic acid methyl ester;
Bifenox [ANSI:BSI:ISO];
BIFENOX;
2,4-dichlorophenyl 3'-methoxycarbonyl-4'-nitrophenyl ether;
Modown;
methyl 2-nitro-5-(2',4'-dichlorophenoxy)benzoate;
Benzoic acid,5-(2,4-dichlorophenoxy)-2-nitro-,methyl ester;
MC-4379;
Caswell No. 561AA
精确分子量/精确质量:
340.98600
极性分子表面积/PSA:
81.35000
油水分配系数/LogP:

LogP值指的是某物质在正辛醇/水两相体系中的分配系数的对数值,反映了物质在油水两相中的分配情况。其中、LogP值越大,说明该物质越亲油;反之,LogP值越小,则说明该物质越亲水。
贝尔斯坦号/MDL:
MFCD00055314
EINECS:
255-894-7
PubChem:
24868809
BRN:
2170169
InChI:
InChI=1/C14H9Cl2NO5/c1-21-14(18)10-7-9(3-4-12(10)17(19)20)22-13-5-2-8(15)6-11(13)16/h2-7H,1H3

生产制备方法及用途展开↓

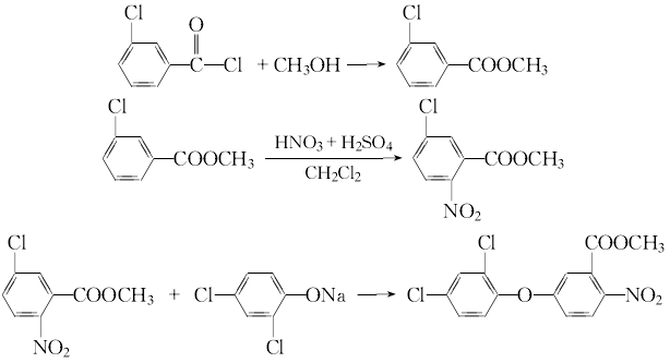
制备方法


以苯甲酰氯、氯气、2,4-二氯苯酚为主要原料,进行下列反应而得。 1.间氯苯甲酰氯的制备 将苯甲酰氯281g、铁粉1.4g及硫黄0.56g投入反应瓶中。保持温度20℃,通氯氯化,约2.5h。然后通氮气赶除光气和反应生成的氯化氢气体而得。 2.间氯苯甲酸甲酯的制备 将甲醇慢慢地加入搅拌下的间氯苯甲酰氯中(酰氯:甲醇=1.0:1.1摩尔比)。在25-68℃之间行酯化反应,回流2-3h,反应过程中有大量氯化氢放出,回收过量的甲醇而得。3. 5-氯-2-硝基苯甲酸甲酯的制备 往反应瓶中加入853g间氯苯甲酸甲酯,和500g 1,2-二氯乙烷,冷却至-10℃,滴加338g 95%的发烟硝酸(5.1mol)和816g 96%硫酸(8mol)的混合酸,约3h滴完。在-10℃下搅拌反应2h,再升温至30℃搅拌反应3h。分出有机层,过滤,干燥而得。 4.甲酯除草醚的制备 将固体碳酸钾(97%)189g,加入搅拌下的2,4-二氯苯酚(97%)419g及960ml二甲基甲酰胺溶剂中,加热回流1h,伴有二氧化碳放出,约50%的二甲基甲酰胺蒸出之后,将5-氯-2-硝基苯甲酸甲酯(80%)638g加入搅拌下的95%的酚盐中。加完后,在100℃反应3h,脱溶后加甲醇使产品溶解,冷却,滤除氯化钾。滤液冷却结晶而得,熔点84-86℃。配制成10%颗粒剂,21%乳油,25%可湿性粉剂。 5.水解反应将772g三氯化苄、0.25g三氯化铁混合后,升温至120℃,再将75g水于一定时间内恒温滴加,滴毕继续搅拌30min,得苯甲酰氯633g,收率96%。 6.氯化反应投入苯甲酰氯281g,铁粉1.4g,硫黄0.56g,于20℃通氯反应2.5h,赶走余氯和氯化氢气体,得间氯苯甲酰氯粗品,收率70%~80%。 7.酯化反应将甲醇滴加到间氯苯甲酰氯中,配比为1∶1(mol),于25~68℃范围内反应,反应过程有轻微放热现象,可以调节加料速度,控制反应温度,回流2~3h,反应过程有大量氯化氢逸出,过量的甲醇与残余氯化氢气体用真空排除,得无色间氯苯甲酸甲酯液体,收率98%~99%。 8.硝化反应将853g间氯苯甲酸甲酯(纯度94%)和500g1,2-二氯乙烷混合后,冷却至-10℃,再滴加338g 95%发烟硝酸和816g 96%的硫酸(混酸),约在3h内滴毕,将反应物在-10℃下搅拌2犺后,再在0~30℃搅拌3h,倾去有机层(1,2-二氯乙烷),过滤、干燥,得829g5-氯-2-硝基苯甲酸甲酯,收率76.9%。 9.缩合反应将固体碳酸钾1.61mol加入到2,4-二氯苯酚2.49mol及960mol DMF溶液中,升温回流1h,伴有二氧化碳气体逸出。把近1/2的犇犕犉(夹带生成的水)溶剂蒸出后,将5-氯-2-硝基苯甲酸甲酯2.37mol加入温度为95℃的酚盐溶液中。加毕于100℃反应3h,真空蒸出犇犕犉,加1000mL甲醇使粗品溶解,大约冷至65℃,滤出犓犆犾,母液冷冻结晶,得纯甲羧除草醚420g,收率50%。 10.制备方法二

合成制备方法


以苯甲酰氯、氯气、2,4-二氯苯酚为主要原料,进行下列反应而得。

1.间氯苯甲酰氯的制备 将苯甲酰氯281g、铁粉1.4g及硫黄0.56g投入反应瓶中。保持温度20℃,通氯氯化,约2.5h。然后通氮气赶除光气和反应生成的氯化氢气体而得。

2.间氯苯甲酸甲酯的制备 将甲醇慢慢地加入搅拌下的间氯苯甲酰氯中(酰氯:甲醇=1.0:1.1摩尔比)。在25-68℃之间行酯化反应,回流2-3h,反应过程中有大量氯化氢放出,回收过量的甲醇而得。3.  5-氯-2-硝基苯甲酸甲酯的制备 往反应瓶中加入853g间氯苯甲酸甲酯,和500g 1,2-二氯乙烷,冷却至-10℃,滴加338g 95%的发烟硝酸(5.1mol)和816g 96%硫酸(8mol)的混合酸,约3h滴完。在-10℃下搅拌反应2h,再升温至30℃搅拌反应3h。分出有机层,过滤,干燥而得。

4.甲酯除草醚的制备 将固体碳酸钾(97%)189g,加入搅拌下的2,4-二氯苯酚(97%)419g及960ml二甲基甲酰胺溶剂中,加热回流1h,伴有二氧化碳放出,约50%的二甲基甲酰胺蒸出之后,将5-氯-2-硝基苯甲酸甲酯(80%)638g加入搅拌下的95%的酚盐中。加完后,在100℃反应3h,脱溶后加甲醇使产品溶解,冷却,滤除氯化钾。滤液冷却结晶而得,熔点84-86℃。配制成10%颗粒剂,21%乳油,25%可湿性粉剂。

5.水解反应将772g三氯化苄、0.25g三氯化铁混合后,升温至120℃,再将75g水于一定时间内恒温滴加,滴毕继续搅拌30min,得苯甲酰氯633g,收率96%。

6.氯化反应投入苯甲酰氯281g,铁粉1.4g,硫黄0.56g,于20℃通氯反应2.5h,赶走余氯和氯化氢气体,得间氯苯甲酰氯粗品,收率70%~80%。

7.酯化反应将甲醇滴加到间氯苯甲酰氯中,配比为1∶1(mol),于25~68℃范围内反应,反应过程有轻微放热现象,可以调节加料速度,控制反应温度,回流2~3h,反应过程有大量氯化氢逸出,过量的甲醇与残余氯化氢气体用真空排除,得无色间氯苯甲酸甲酯液体,收率98%~99%。

8.硝化反应将853g间氯苯甲酸甲酯(纯度94%)和500g1,2-二氯乙烷混合后,冷却至-10℃,再滴加338g 95%发烟硝酸和816g 96%的硫酸(混酸),约在3h内滴毕,将反应物在-10℃下搅拌2犺后,再在0~30℃搅拌3h,倾去有机层(1,2-二氯乙烷),过滤、干燥,得829g5-氯-2-硝基苯甲酸甲酯,收率76.9%。

9.缩合反应将固体碳酸钾1.61mol加入到2,4-二氯苯酚2.49mol及960mol DMF溶液中,升温回流1h,伴有二氧化碳气体逸出。把近1/2的犇犕犉(夹带生成的水)溶剂蒸出后,将5-氯-2-硝基苯甲酸甲酯2.37mol加入温度为95℃的酚盐溶液中。加毕于100℃反应3h,真空蒸出犇犕犉,加1000mL甲醇使粗品溶解,大约冷至65℃,滤出犓犆犾,母液冷冻结晶,得纯甲羧除草醚420g,收率50%。

10.制备方法二

用途简介


1.甲酯除草醚是一种光合作用抑制剂,能被叶片较快地吸收,但在植物体内传导速度较慢。它是芽前除草剂,主要用于大豆除草。具有施药量少,除草谱广,对土壤适应性强,不受气温影响等优点。急性口服毒性LD50鼠大于6400mg/kg,急性经皮毒性LD50兔大于20000mg/kg。TLM鲤鱼(48h)为1.22ppm。 2.触杀型芽前土壤处理剂,具有杀草谱广,施药量少,土壤适应性强,不受气温影响等特点。药剂被杂草幼芽吸收,破坏杂草的光合作用。适用于大豆、水稻、高粱、玉米、小麦等作物防除稗草、千金子、鸭跖草、苋菜、本氏蓼、藜、马齿苋、苘麻、苍耳、鸭舌草、泽泻、龙葵、地肤等杂草。如水稻使用于移栽本田,在移栽后4~6d,用7%颗粒剂240~285g/100m2或80%可湿性粉剂22~25g/100m2,制成毒土撒施。施药时灌浅水层,施药后保持水层3~4h。推荐用药量为1~2kg有效成分/hm2

用途


1.甲酯除草醚是一种光合作用抑制剂,能被叶片较快地吸收,但在植物体内传导速度较慢。它是芽前除草剂,主要用于大豆除草。具有施药量少,除草谱广,对土壤适应性强,不受气温影响等优点。急性口服毒性LD50鼠大于6400mg/kg,急性经皮毒性LD50兔大于20000mg/kg。TLM鲤鱼(48h)为1.22ppm。

2.触杀型芽前土壤处理剂,具有杀草谱广,施药量少,土壤适应性强,不受气温影响等特点。药剂被杂草幼芽吸收,破坏杂草的光合作用。适用于大豆、水稻、高粱、玉米、小麦等作物防除稗草、千金子、鸭跖草、苋菜、本氏蓼、藜、马齿苋、苘麻、苍耳、鸭舌草、泽泻、龙葵、地肤等杂草。如水稻使用于移栽本田,在移栽后4~6d,用7%颗粒剂240~285g/100m2或80%可湿性粉剂22~25g/100m2,制成毒土撒施。施药时灌浅水层,施药后保持水层3~4h。推荐用药量为1~2kg有效成分/hm2

物化性质展开↓

密度:
1.464g/cm3
熔点:
83 - 85ºC
沸点:
421ºC at 760mmHg
闪点:
208.4ºC
折射率:
1.608
存储条件/存储方法:
库房通风低温干燥,与食品原料分开储运
稳定性相关:

常规情况下不会分解,没有危险反应

无严重吸入毒性,对眼无刺激。高剂量词喂大鼠和火不产生病理学及组织学变化。无致畸、致癌、致突变作用。

其它信息:

1.       性状:黄色或浅褐色结晶。

2.       密度(g/mL,25ºC):未确定

3.       相对蒸汽密度(g/mL,空气=1): 未确定

4.       熔点(ºC):84~86

5.       沸点(ºC):421

6.       沸点(ºC,19mm hg):未确定

7.       折射率:未确定

8.       闪点(ºF):未确定

9.       比旋光度(ºC):未确定

10.    自燃点或引燃温度(ºC): 未确定

11.    蒸气压(kPa,20ºC):2×10-4

12.    饱和蒸气压(kPa,60ºC):未确定

13.    燃烧热(KJ/mol):未确定

14.    临界温度(ºC):未确定

15.    临界压力(KPa):未确定

16.    油水(辛醇/水)分配系数的对数值:未确定

17.    爆炸上限(%,V/V):未确定

18.    爆炸下限(%,V/V):未确定

19.    溶解性:未确定

安全信息展开↓

海关代码:
2918990090
危险类别码:
50/53
安全说明:
S60-S61
RTECS号:
DG7890000
安全标志:
S60:本物质残余物和容器必须作为危险废物处理。
S61:避免排放到环境中。参考专门的说明/安全数据表。
危险标志:
N: Dangerous for the environment;

化学图谱

  1. 甲酯除草醚红外图谱(IR1)

  2. 甲酯除草醚红外图谱(IR2)

  3. 甲酯除草醚核磁图(1HNMR)

  4. 甲酯除草醚质谱(MS)

  5. 甲酯除草醚核磁图(13CNMR)

上一页 1/4 下一页

毒理性展开↓

CHEMICAL IDENTIFICATION

RTECS NUMBER :
DG7890000
CHEMICAL NAME :
Benzoic acid, 5-(2,4-dichlorophenoxy)-2-nitro-, methyl ester
CAS REGISTRY NUMBER :
42576-02-3
LAST UPDATED :
199710
DATA ITEMS CITED :
6
MOLECULAR FORMULA :
C14-H9-Cl2-N-O5
MOLECULAR WEIGHT :
342.14
WISWESSER LINE NOTATION :
GR CG DOR DNW CVO1

HEALTH HAZARD DATA

ACUTE TOXICITY DATA

TYPE OF TEST :
LD50 - Lethal dose, 50 percent kill
ROUTE OF EXPOSURE :
Oral
SPECIES OBSERVED :
Rodent - rat
DOSE/DURATION :
6400 mg/kg
TOXIC EFFECTS :
Details of toxic effects not reported other than lethal dose value
REFERENCE :
85ARAE "Agricultural Chemicals," Thomson, W.T., 4 vols., Fresno, CA, Thomson Publications, 1976/77 revision Volume(issue)/page/year: 2,15,1977
TYPE OF TEST :
LC50 - Lethal concentration, 50 percent kill
ROUTE OF EXPOSURE :
Inhalation
SPECIES OBSERVED :
Rodent - rat
DOSE/DURATION :
>200 gm/m3
TOXIC EFFECTS :
Details of toxic effects not reported other than lethal dose value
REFERENCE :
DEVEAA Defense des Vegetaux. (Federation Nationale des Groupements de Protection des Cultures, 149, rue de Bercy, 75595 Paris Cedex, 12, France) V.1- 1947- Volume(issue)/page/year: 37,3,1983
TYPE OF TEST :
LD50 - Lethal dose, 50 percent kill
ROUTE OF EXPOSURE :
Oral
SPECIES OBSERVED :
Rodent - mouse
DOSE/DURATION :
4556 mg/kg
TOXIC EFFECTS :
Details of toxic effects not reported other than lethal dose value
REFERENCE :
PEMNDP Pesticide Manual. (The British Crop Protection Council, 20 Bridport Rd., Thornton Heath CR4 7QG, UK) V.1- 1968- Volume(issue)/page/year: 9,71,1991
TYPE OF TEST :
LD50 - Lethal dose, 50 percent kill
ROUTE OF EXPOSURE :
Administration onto the skin
SPECIES OBSERVED :
Rodent - rabbit
DOSE/DURATION :
>20 gm/kg
TOXIC EFFECTS :
Details of toxic effects not reported other than lethal dose value
REFERENCE :
DEVEAA Defense des Vegetaux. (Federation Nationale des Groupements de Protection des Cultures, 149, rue de Bercy, 75595 Paris Cedex, 12, France) V.1- 1947- Volume(issue)/page/year: 37,3,1983 *** U.S. STANDARDS AND REGULATIONS *** EPA FIFRA 1988 PESTICIDE SUBJECT TO REGISTRATION OR RE-REGISTRATION FEREAC Federal Register. (U.S. Government Printing Office, Supt. of Documents, Washington, DC 20402) V.1- 1936- Volume(issue)/page/year: 54,7740,1989
毒理学数据:

大鼠急性经口LD50> 6400mg /kg,家兔急性经皮LD50> 20000mg /kg.对鱼及水生生物高毒,虹蝉鱼LC50 >0.18mg/L(96h),鲤鱼LC50>1.22mg/L(48h),虾LC50为0 . 065mg /kg。对蜜蜂低毒,急性接触LD50> 1000μg/只。对鸟类低毒,鹤鹑急性经日LD50 >5000mg /kg.

生态数据:

对水是稍微有危害的不要让未稀释或大量的产品接触地下水、水道或者污水系统,若无政府许可,勿将材料排入周围环境。

MSDS 展开↓


Section 1. IDENTIFICATION OF THE SUBSTANCE/MIXTURE
  Product identifiers
    Product name        : Bifenox    
    CAS-No.        : 42576-02-3    
  Relevant identified uses of the substance or mixture and uses advised against
    Identified uses        : Laboratory chemicals, Manufacture of substances    
  
  

Section 2. HAZARDS IDENTIFICATION
  Classification of the substance or mixture
  Classification according to Regulation (EC) No 1272/2008 [EU-GHS/CLP]
    Acute aquatic toxicity (Category 1)
    Chronic aquatic toxicity (Category 1)
    Not a hazardous substance or mixture according to EC-directives 67/548/EEC or 1999/45/EC.
  Label elements
  Labelling according Regulation (EC) No 1272/2008 [CLP]
    Pictogram
    Signal word        Warning    
    Hazard statement(s)
    H410        Very toxic to aquatic life with long lasting effects.    
    Precautionary statement(s)
    P273        Avoid release to the environment.    
    P501        Dispose of contents/ container to an approved waste disposal plant.    
    Supplemental Hazard        none    
    Statements
  Other hazards - none

Section 3. COMPOSITION/INFORMATION ON INGREDIENTS
  Substances
    Synonyms        : Methyl 5-(2,4-dichlorophenoxy)-2-nitrobenzoate    
    Formula        : C14H9Cl2NO5    
    Molecular Weight        : 342,13 g/mol    

Section 4. FIRST AID MEASURES
  Description of first aid measures
  General advice
    Consult a physician. Show this safety data sheet to the doctor in attendance.
  If inhaled
    If breathed in, move person into fresh air. If not breathing, give artificial respiration. Consult a physician.
  In case of skin contact
    Wash off with soap and plenty of water. Consult a physician.
  In case of eye contact
    Flush eyes with water as a precaution.
  If swallowed
    Never give anything by mouth to an unconscious person. Rinse mouth with water. Consult a physician.
  Most important symptoms and effects, both acute and delayed
  Indication of any immediate medical attention and special treatment needed
    no data available

Section 5. FIREFIGHTING MEASURES
  Extinguishing media
  Suitable extinguishing media
    Use water spray, alcohol-resistant foam, dry chemical or carbon dioxide.
  Special hazards arising from the substance or mixture
    Carbon oxides, nitrogen oxides (NOx), Hydrogen chloride gas
  Advice for firefighters
    Wear self contained breathing apparatus for fire fighting if necessary.
  Further information
    no data available

Section 6. ACCIDENTAL RELEASE MEASURES
  Personal precautions, protective equipment and emergency procedures
    Avoid dust formation. Avoid breathing vapors, mist or gas. Ensure adequate ventilation. Evacuate
    personnel to safe areas.
  Environmental precautions
    Prevent further leakage or spillage if safe to do so. Do not let product enter drains. Discharge into the
    environment must be avoided.
  Methods and materials for containment and cleaning up
    Pick up and arrange disposal without creating dust. Sweep up and shovel. Keep in suitable, closed
    containers for disposal.
  Reference to other sections
    For disposal see section 13.

Section 7. HANDLING AND STORAGE
  Precautions for safe handling
    Provide appropriate exhaust ventilation at places where dust is formed.Normal measures for preventive fire
    protection.
  Conditions for safe storage, including any incompatibilities
    Store in cool place. Keep container tightly closed in a dry and well-ventilated place.
  Specific end use(s)
    no data available

Section 8. EXPOSURE CONTROLS/PERSONAL PROTECTION
  Control parameters
  Components with workplace control parameters
  Exposure controls
  Appropriate engineering controls
    Handle in accordance with good industrial hygiene and safety practice. Wash hands before breaks and
    at the end of workday.
  Personal protective equipment
  Eye/face protection
    Use equipment for eye protection tested and approved under appropriate government standards
    such as NIOSH (US) or EN 166(EU).
  Skin protection
    Handle with gloves. Gloves must be inspected prior to use. Use proper glove removal technique
    (without touching glove's outer surface) to avoid skin contact with this product. Dispose of
    contaminated gloves after use in accordance with applicable laws and good laboratory practices.
    Wash and dry hands.
    The selected protective gloves have to satisfy the specifications of EU Directive 89/686/EEC and
    the standard EN 374 derived from it.
  Body Protection
    Choose body protection in relation to its type, to the concentration and amount of dangerous
    substances, and to the specific work-place., The type of protective equipment must be selected
    according to the concentration and amount of the dangerous substance at the specific workplace.
  Respiratory protection
    Respiratory protection is not required. Where protection from nuisance levels of dusts are desired,
    use type N95 (US) or type P1 (EN 143) dust masks. Use respirators and components tested and
    approved under appropriate government standards such as NIOSH (US) or CEN (EU).

Section 9. PHYSICAL AND CHEMICAL PROPERTIES
  Information on basic physical and chemical properties
    a) Appearance        Form: solid    
    Colour: yellow
    b) Odour        no data available    
    c) Odour Threshold        no data available    
    d) pH        no data available    
    e) Melting point/freezing        84 - 89 °C    
    point
    f) Initial boiling point and no data available
    boiling range
    g) Flash point        no data available    
    h) Evaporation rate        no data available    
    i) Flammability (solid, gas) no data available
    j) Upper/lower        no data available    
    flammability or
    explosive limits
    k) Vapour pressure        no data available    
    l) Vapour density        no data available    
    m) Relative density        no data available    
    n) Water solubility        insoluble    
    o) Partition coefficient: n- log Pow: 4,48
    octanol/water
    p) Auto-ignition        no data available    
    temperature
    q) Decomposition        no data available    
    temperature
    r) Viscosity        no data available    
    s) Explosive properties        no data available    
    t) Oxidizing properties        no data available    
  Other safety information
    no data available

Section 10. STABILITY AND REACTIVITY
  Reactivity
    no data available
  Chemical stability
    no data available
  Possibility of hazardous reactions
    no data available
  Conditions to avoid
    no data available
  Incompatible materials
    Strong oxidizing agents
  Hazardous decomposition products
    Other decomposition products - no data available

Section 11. TOXICOLOGICAL INFORMATION
  Information on toxicological effects
  Acute toxicity
    LD50 Oral - rat - 6.400 mg/kg
    LC50 Inhalation - rat - > 200.000 mg/m3
    LD50 Dermal - rabbit - > 20.000 mg/kg
  Skin corrosion/irritation
    no data available
  Serious eye damage/eye irritation
    no data available
  Respiratory or skin sensitization
    no data available
  Germ cell mutagenicity
    no data available
  Carcinogenicity
    IARC:        No component of this product present at levels greater than or equal to 0.1% is identified as    
    probable, possible or confirmed human carcinogen by IARC.
  Reproductive toxicity
    no data available
  Specific target organ toxicity - single exposure
    no data available
  Specific target organ toxicity - repeated exposure
    no data available
  Aspiration hazard
    no data available
  Potential health effects
  Inhalation
    May be harmful if inhaled. May cause respiratory tract irritation.
  Ingestion        May be harmful if swallowed.    
  Skin        May be harmful if absorbed through skin. May cause skin irritation.    
  Eyes        May cause eye irritation.    
  Additional Information
    RTECS: DG7890000

Section 12. ECOLOGICAL INFORMATION
  Toxicity
    Toxicity to fish        LC50 - Oncorhynchus mykiss (rainbow trout) - > 0,18 mg/l - 96,0 h    
    Toxicity to daphnia and EC50 - Daphnia magna (Water flea) - > 0,35 mg/l - 48 h
    other aquatic
    invertebrates
  Persistence and degradability
    no data available
  Bioaccumulative potential
    no data available
  Mobility in soil
    no data available
  Results of PBT and vPvB assessment
    no data available
  Other adverse effects
    Very toxic to aquatic life.
    Avoid release to the environment.
    no data available

Section 13. DISPOSAL CONSIDERATIONS
  Waste treatment methods
  Product
    Offer surplus and non-recyclable solutions to a licensed disposal company. Contact a licensed
    professional waste disposal service to dispose of this material. Dissolve or mix the material with a
    combustible solvent and burn in a chemical incinerator equipped with an afterburner and scrubber.
  Contaminated packaging
    Dispose of as unused product.

Section 14. TRANSPORT INFORMATION
  UN number
    ADR/RID: 3077        IMDG: 3077        IATA: 3077    
  UN proper shipping name
    ADR/RID: ENVIRONMENTALLY HAZARDOUS SUBSTANCE, SOLID, N.O.S. (Methyl 5-(2,4-
    dichlorophenoxy)-2-nitrobenzoate)
    IMDG: ENVIRONMENTALLY HAZARDOUS SUBSTANCE, SOLID, N.O.S. (Methyl 5-(2,4-
    dichlorophenoxy)-2-nitrobenzoate)
    IATA:        Environmentally hazardous substance, solid, n.o.s. (Methyl 5-(2,4-dichlorophenoxy)-2-    
    nitrobenzoate)
  Transport hazard class(es)
    ADR/RID: 9        IMDG: 9        IATA: 9    
  Packaging group
    ADR/RID: III        IMDG: III        IATA: III    
  Environmental hazards
    ADR/RID: yes        IMDG Marine Pollutant: yes        IATA: yes    
  Special precautions for user
  Further information
    EHS-Mark required (ADR 2.2.9.1.10, IMDG code 2.10.3) for single packagings and combination
    packagings containing inner packagings with Dangerous Goods > 5L for liquids or > 5kg for solids.

Section 15. REGULATORY INFORMATION
    This safety datasheet complies with the requirements of Regulation (EC) No. 1907/2006.
  Safety, health and environmental regulations/legislation specific for the substance or mixture
    no data available
  Chemical Safety Assessment
    no data available

Section 16. OTHER INFORMATION
  Further information
    Copyright 2012 Co. LLC. License granted to make unlimited paper copies for internal use
    only.
    The above information is believed to be correct but does not purport to be all inclusive and shall be
    used only as a guide. The information in this document is based on the present state of our knowledge
    and is applicable to the product with regard to appropriate safety precautions. It does not represent any
    guarantee of the properties of the product. Corporation and its Affiliates shall not be held
    liable for any damage resulting from handling or from contact with the above product. See
     and/or the reverse side of invoice or packing slip for additional terms and conditions of sale.

海关数据查看详细

中国海关编码:2918990090

概述:
2918990090. 其他含其他附加含氧基羧酸(包括酸酐、酰卤化物、过氧化物和过氧酸及该税号的衍生物). 增值税率:17.0%. 退税率:13.0%. 监管条件:无. 最惠国关税:6.5%. 普通关税:30.0%
申报要素:
品名, 成分含量, 用途
摘要/Summary:
2918990090. other carboxylic acids with additional oxygen function and their anhydrides, halides, peroxides and peroxyacids; their halogenated, sulphonated, nitrated or nitrosated derivatives. VAT:17.0%. Tax rebate rate:13.0%. . MFN tariff:6.5%. General tariff:30.0%

分子结构与计算化学数据展开↓

计算化学数据


1.疏水参数计算参考值(XlogP):无

2.氢键供体数量:0

3.氢键受体数量:5

4.可旋转化学键数量:4

5.互变异构体数量:无

6.拓扑分子极性表面积81.4

7.重原子数量:22

8.表面电荷:0

9.复杂度:417

10.同位素原子数量:0

11.确定原子立构中心数量:0

12.不确定原子立构中心数量:0

13.确定化学键立构中心数量:0

14.不确定化学键立构中心数量:0

15.共价键单元数量:1

上下游相关产品

下游产品

更多
  • 1836-75-5

    除草醚

  • 120-83-2

    2.4二氯酚

  • 53774-07-5

    甲羧除草醚游离酸

立即下载安装“化学加”APP
专业、功能强大,随时调用更加方便