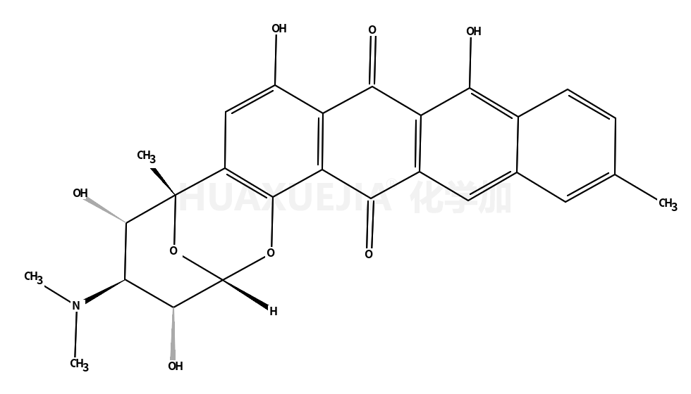
Nogarene

Nogarene 基本信息
CAS号 71582-54-2 分子式 C27H25NO8
分子量 491.48900 精确质量  491.15800
PSA  N/A LogP  N/A

合成路线 1

  • 105827-65-4

    (+)-2',4'-di-O-acetylnogarene

  • ~84%

  • 71582-54-2

    Nogarene

  • 105827-64-3

    (+)-2',4'-di-O-acetyl-7,8-dihydronogarene

  • 71582-54-2

    Nogarene

  • 30021-64-8

    ethyl 2,4-dimethylcyclohexa-1,3-diene-1-carboxylate

  • 71582-54-2

    Nogarene

  • 105827-50-7

    (2R,3R,4R,5S,6S)-(+)-6-hydroxy-4-(N-methoxycarbonyl-N-methylamino)-3,5-bis(methoxymethyloxy)-2-methyl-2-(1,4,5,8-tetramethoxy-2-naphthalenyl)tetrahydropyran

  • 71582-54-2

    Nogarene

  • 105827-53-0

    (2R,3R,4R,5S,6R)-(-)-4-dimethylamino-3,5,6-tris(methoxymethyloxy)-2-methyl-2-(1,4,5,8-tetramethoxy-2-naphthalenyl)tetrahydropyran

  • 71582-54-2

    Nogarene

  • 105827-56-3

    2-((2R,3R,4R,5S,6R)-4-(dimethylamino)-3,5,6-tris(methoxymethoxy)-2-methyltetrahydro-2H-pyran-2-yl)-5,8-dimethoxynaphthalene-1,4-diol

  • 71582-54-2

    Nogarene

  • 105834-44-4

    (2R,3R,4R,5S,6R)-(+)-2-(5,8-dimethoxy-1,4-dioxo-2-naphthalenyl)-4-dimethylamino-3,5,6-tris(methoxymethyloxy)-2-methyltetrahydropyran

  • 71582-54-2

    Nogarene

  • 105827-58-5

    (2R,3S,4R,5R,6R)-(+)-3,5-diacetoxy-9,12-dimethoxy-4-dimethylamino-8-hydroxy-6-methyl-2,6-epoxy-3,4,5,6-tetrahydro-2H-naphthaleno[1,2-b]oxocine

  • 71582-54-2

    Nogarene

  • 105827-57-4

    (2R,3S,4R,5R,6R)-4-(dimethylamino)-9,12-dimethoxy-6-methyl-3,4,5,6-tetrahydro-2H-2,6-epoxynaphtho[1,2-b]oxocine-3,5,8-triol

  • 71582-54-2

    Nogarene

  • 105827-52-9

    (2R,3R,4R,5S,6R)-(-)-4-(N-methoxycarbonyl-N-methylamino)-3,5,6-tris(methoxymethyloxy)-2-methyl-2-(1,4,5,8-tetramethoxy-2-naphthalenyl)tetrahydropyran

  • 71582-54-2

    Nogarene

  • 105827-59-6

    (2R,3S,4R,5R,6R)-(+)-3,5-diacetoxy-4-dimethylamino-8-hydroxy-6-methyl-2,6-epoxy-3,4,5,6-tetrahydro-2H-naphthaleno[1,2-b]oxocine-9,12-dione

  • 71582-54-2

    Nogarene

  • 105827-49-4

    (3S,4R,5R,6R)-4-(N-methoxycarbonyl-N-methylamino)-3,5-bis(methoxymethyloxy)-6-methyl-6-(1,4,5,8-tetramethoxy-2-naphthalenyl)tetrahydro-2-pyranone

  • 71582-54-2

    Nogarene

  • 105827-48-3

    (2S,3S,4R,5R)-(-)-3-(N-methoxycarbonyl-N-methylamino)-2,4-bis(methoxymethyloxy)-5-(1,4,5,8-tetramethoxy-2-naphthalenyl)-1,5-hexanediol

  • 71582-54-2

    Nogarene

  • 120143-13-7

    (2R,3R,4S,5S)-(-)-6-(tert-butyldimethylsilyloxy)-4-(N-methoxycarbonyl-N-methylamino)-3,5-bis(methoxymethyloxy)-2-(1,4,5,8-tetramethoxy-2-naphthalenyl)-2-hexanol

  • 71582-54-2

    Nogarene

  • 97989-85-0

    (2S,3S,4R)-(-)-1-(tert-butyldimethylsilyloxy)-3-(N-methoxycarbonyl-N-methylamino)-2,4-bis(methoxymethyloxy)-5-hexanone

  • 71582-54-2

    Nogarene

  • 10075-68-0

    1,4,5,8-tetramethoxynaphthalene

  • 71582-54-2

    Nogarene

  • 105827-62-1

    4-bis(trimethylsilyloxy)methylene-1-methyl-3-methylene-1-cyclohexene

  • 71582-54-2

    Nogarene

  • 105827-63-2

    2,4-dimethylcyclohexa-1,3-diene-1-carboxylic acid

  • 71582-54-2

    Nogarene