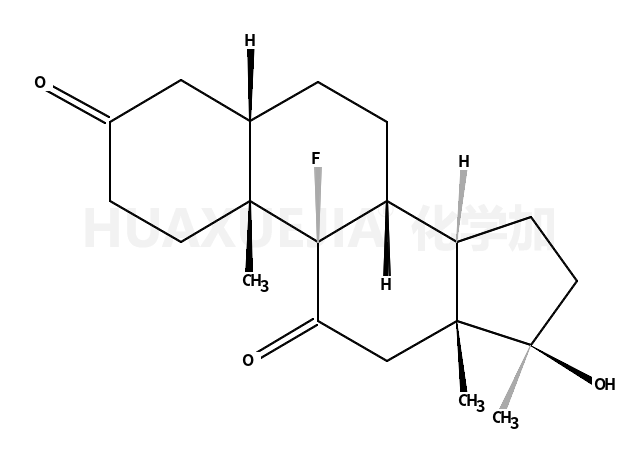
(5R,8S,9R,10S,13S,14S,17S)-9-fluoro-17-hydroxy-10,13,17-trimethyl-2,4,5,6,7,8,12,14,15,16-decahydro-1H-cyclopenta[a]phenanthrene-3,11-dione

(5R,8S,9R,10S,13S,14S,17S)-9-fluoro-17-hydroxy-10,13,17-trimethyl-2,4,5,6,7,8,12,14,15,16-decahydro-1H-cyclopenta[a]phenanthrene-3,11-dione 基本信息
CAS号 1584-44-7 分子式 C20H29FO3
分子量 336.44100 精确质量  336.21000
PSA  N/A LogP  N/A

合成路线 1

  • 53649-13-1

    Androstan-3-one, 9-fluoro-11,17-dihydroxy-17-methyl-, (5.β.,11.β.,17.β.)-

  • 1584-44-7

    (5R,8S,9R,10S,13S,14S,17S)-9-fluoro-17-hydroxy-10,13,17-trimethyl-2,4,5,6,7,8,12,14,15,16-decahydro-1H-cyclopenta[a]phenanthrene-3,11-dione