欢迎来到化学加!萃聚英才,共享化学!化学加,加您更精彩!
首页
注册入驻
网站资讯
化学加_合成化学产业资源聚合服务平台
www.huaxuejia.cn
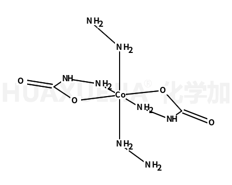
N-aminocarbamate,cobalt(2+),hydrazine
N-aminocarbamate,cobalt(2+),hydrazine 基本信息
CAS号
21590-58-9
分子式
C2H14CoN8O4
分子量
273.11700
精确质量
273.04700
PSA
260.44000
LogP
-1.79280
我要卖该产品
我要定制合成该产品
等价的CAS号:
21590-58-9,13963-78-5,15293-37-5
充值推广
查看更多供应商
目录
基本信息
基本信息
展开↓
CAS号:
15293-37-5
3D弹球模型:
立即前往扯扯看
分子式:
C2H14CoN8O4
分子量:
273.11700
中文名称:
N-aminocarbamate,cobalt(2+),hydrazine
英文名称:
N-aminocarbamate,cobalt(2+),hydrazine
中文别名:
N-aminocarbamate,cobalt(2+),hydrazine
英文别名:
N-aminocarbamate,cobalt(2+),hydrazine;
Cobalt,bis(carbazato)bis(hydrazine);
Dicarbohydrazine-dihydrazine-cobalt
精确分子量/精确质量:
273.04700
极性分子表面积/PSA:
260.44000
油水分配系数/LogP:
LogP值指的是某物质在正辛醇/水两相体系中的分配系数的对数值,反映了物质在油水两相中的分配情况。其中、LogP值越大,说明该物质越亲油;反之,LogP值越小,则说明该物质越亲水。
InChI:
The Key: LJBJKNKITFXBKW-UHFFFAOYSA-L
基本信息
立即下载安装“化学加”APP
专业、功能强大,随时调用更加方便
专业、功能强大,随时调用更加方便
下载APP