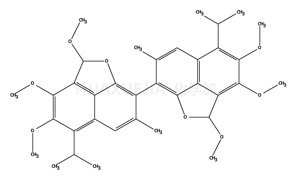
2,2',3,3',4,4'-hexamethoxy-7,7'-dimethyl-5,5'-di(propan-2-yl)-2h,2'h-8,8'-binaphtho[1,8-bc]furan

2,2',3,3',4,4'-hexamethoxy-7,7'-dimethyl-5,5'-di(propan-2-yl)-2h,2'h-8,8'-binaphtho[1,8-bc]furan 基本信息
CAS号 31591-07-8 分子式 C36H42O8
分子量 602.71400 精确质量  602.28800
PSA  N/A LogP  N/A

合成路线 1

  • 124616-37-1

    9,9',10,10'-tetrahydroxy-2,2'-dimethoxy-6,6'-dimethyl-8,8'-bis(1-methylethyl)[5,5'-bi-2H-naphtho[1,8-bc]furan]

  • +

  • 77-78-1

    硫酸二甲酯

  • ~77%

  • 31591-07-8

    2,2',3,3',4,4'-hexamethoxy-7,7'-dimethyl-5,5'-di(propan-2-yl)-2h,2'h-8,8'-binaphtho[1,8-bc]furan

  • 303-45-7

    棉酚

  • +

  • 77-78-1

    硫酸二甲酯

  • ~76%

  • 31591-07-8

    2,2',3,3',4,4'-hexamethoxy-7,7'-dimethyl-5,5'-di(propan-2-yl)-2h,2'h-8,8'-binaphtho[1,8-bc]furan

  • 5453-04-3

    Racemic gossypol, acetate salt

  • 31591-07-8

    2,2',3,3',4,4'-hexamethoxy-7,7'-dimethyl-5,5'-di(propan-2-yl)-2h,2'h-8,8'-binaphtho[1,8-bc]furan

  • 15161-24-7

    5,5'-diisopropyl-2,3,2',3'-tetramethoxy-7,7'-dimethyl-2H,2'H-[8,8']bi[naphtho[1,8-bc]furanyl]-4,4'-diol

  • +

  • 77-78-1

    硫酸二甲酯

  • 31591-07-8

    2,2',3,3',4,4'-hexamethoxy-7,7'-dimethyl-5,5'-di(propan-2-yl)-2h,2'h-8,8'-binaphtho[1,8-bc]furan

  • 40823-57-2

    5,5'-diisopropyl-4,4'-dimethoxy-7,7'-dimethyl-2H,2'H-[8,8'-binaphtho[1,8-bc]furan]-2,2',3,3'-tetraol

  • +

  • 77-78-1

    硫酸二甲酯

  • 31591-07-8

    2,2',3,3',4,4'-hexamethoxy-7,7'-dimethyl-5,5'-di(propan-2-yl)-2h,2'h-8,8'-binaphtho[1,8-bc]furan

  • 67-56-1

    甲醇

  • 31591-07-8

    2,2',3,3',4,4'-hexamethoxy-7,7'-dimethyl-5,5'-di(propan-2-yl)-2h,2'h-8,8'-binaphtho[1,8-bc]furan

  • 74-88-4

    甲基碘

  • 31591-07-8

    2,2',3,3',4,4'-hexamethoxy-7,7'-dimethyl-5,5'-di(propan-2-yl)-2h,2'h-8,8'-binaphtho[1,8-bc]furan

  • 186581-53-3

    重氮甲烷

  • 31591-07-8

    2,2',3,3',4,4'-hexamethoxy-7,7'-dimethyl-5,5'-di(propan-2-yl)-2h,2'h-8,8'-binaphtho[1,8-bc]furan

  • 77-78-1

    硫酸二甲酯

  • 31591-07-8

    2,2',3,3',4,4'-hexamethoxy-7,7'-dimethyl-5,5'-di(propan-2-yl)-2h,2'h-8,8'-binaphtho[1,8-bc]furan