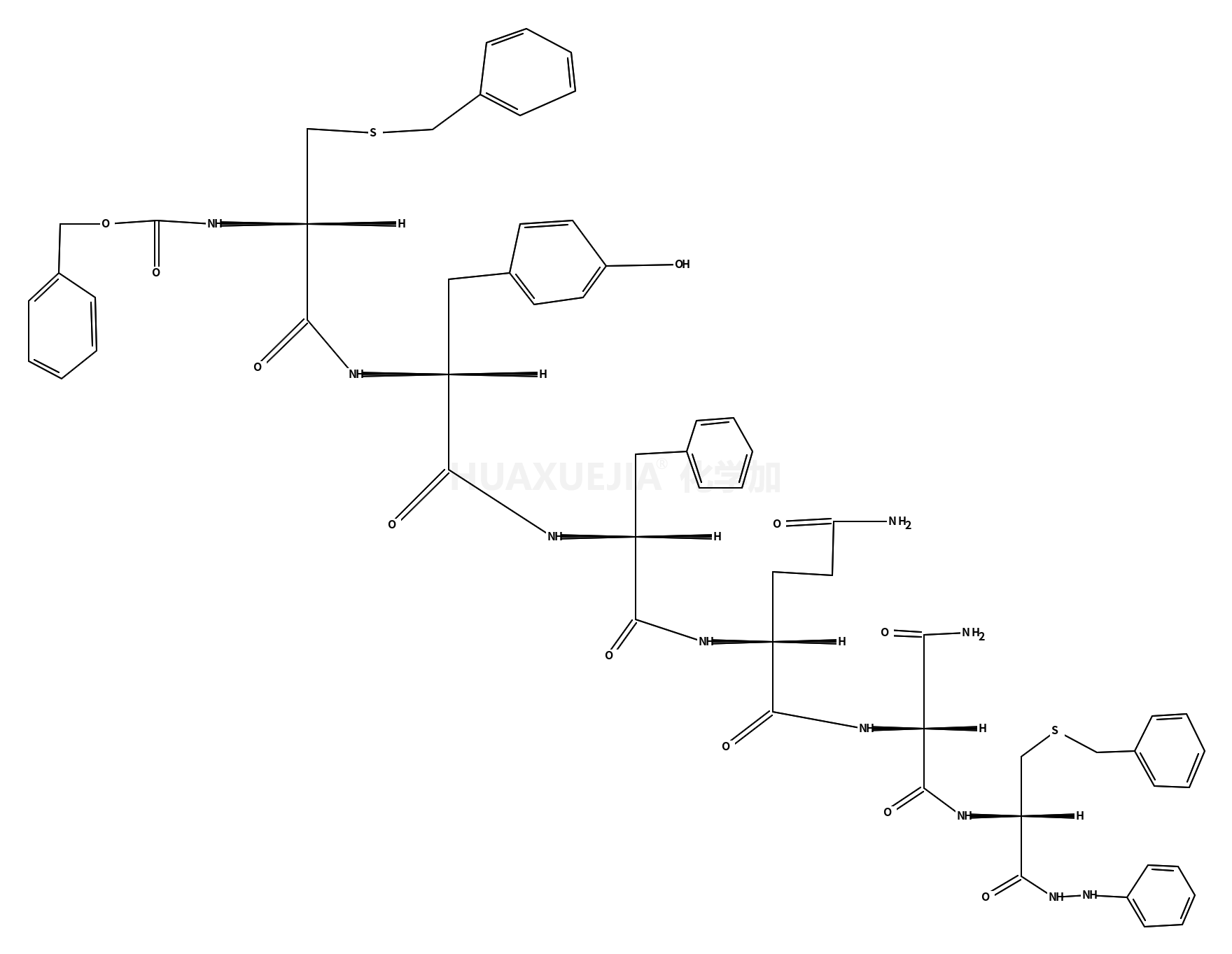
Benzyloxycarbonyl-S-benzylcysteinyl-tyrosyl-phenylalanyl-glutaminyl-asparaginyl-S-benzylcysteine phenylhydrazide

Benzyloxycarbonyl-S-benzylcysteinyl-tyrosyl-phenylalanyl-glutaminyl-asparaginyl-S-benzylcysteine phenylhydrazide 基本信息
CAS号 108607-43-8 分子式 C61H68N10O11S2
分子量 1181.38000 精确质量  1180.45000
PSA  N/A LogP  N/A

合成路线 1

  • 108607-49-4

    Benzyloxycarbonyl-S-benzylcysteinyl-tyrosyl-phenylalanine phenylhydrazide

  • 108607-43-8

    Benzyloxycarbonyl-S-benzylcysteinyl-tyrosyl-phenylalanyl-glutaminyl-asparaginyl-S-benzylcysteine phenylhydrazide

  • 108517-79-9

    Benzyloxycarbonyl-S-benzylcysteinyl-tyrosyl-phenylalanine methyl ester

  • 108607-43-8

    Benzyloxycarbonyl-S-benzylcysteinyl-tyrosyl-phenylalanyl-glutaminyl-asparaginyl-S-benzylcysteine phenylhydrazide