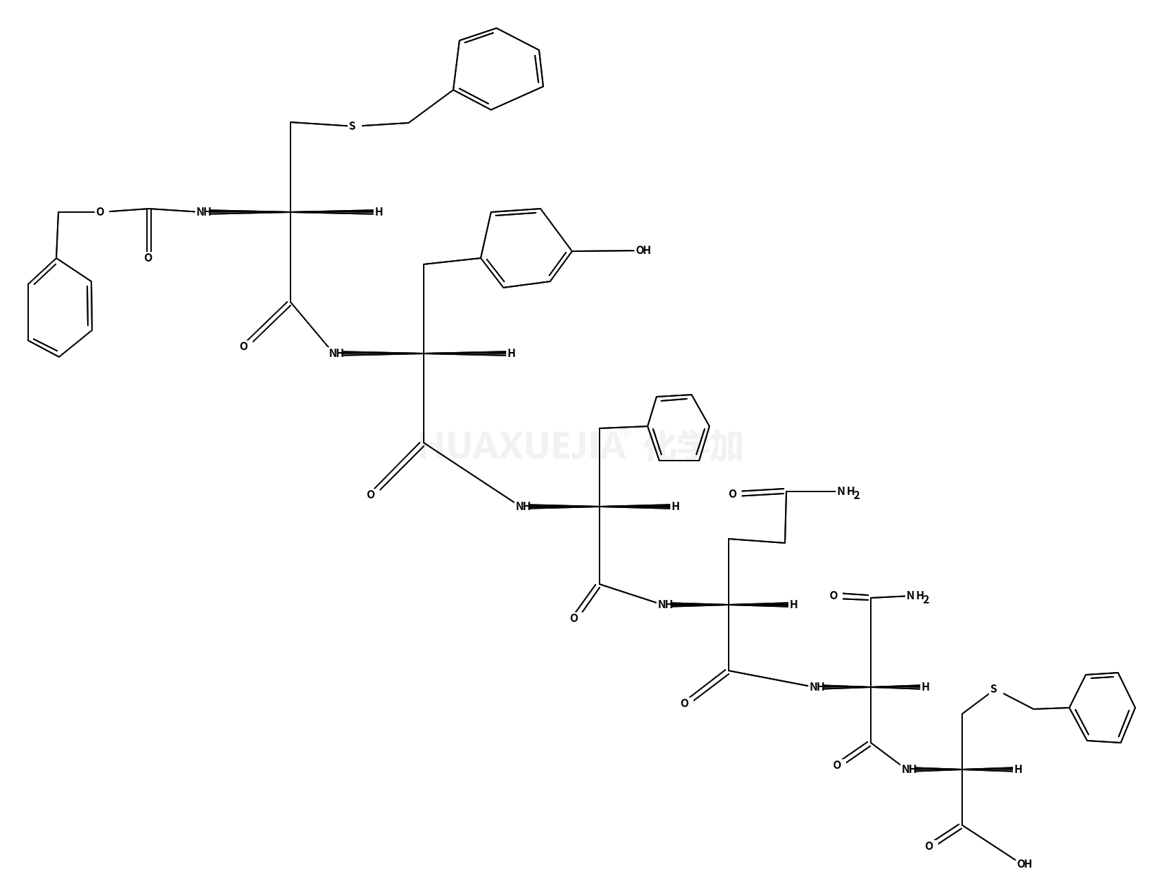
Benzyloxycarbonyl-S-benzylcysteinyl-tyrosyl-phenylalanyl-glutaminyl-asparaginyl-S-benzylcysteine

Benzyloxycarbonyl-S-benzylcysteinyl-tyrosyl-phenylalanyl-glutaminyl-asparaginyl-S-benzylcysteine 基本信息
CAS号 108607-44-9 分子式 C55H62N8O12S2
分子量 1091.26000 精确质量  1090.39000
PSA  N/A LogP  N/A

合成路线 1

  • 108607-43-8

    Benzyloxycarbonyl-S-benzylcysteinyl-tyrosyl-phenylalanyl-glutaminyl-asparaginyl-S-benzylcysteine phenylhydrazide

  • ~61%

  • 108607-44-9

    Benzyloxycarbonyl-S-benzylcysteinyl-tyrosyl-phenylalanyl-glutaminyl-asparaginyl-S-benzylcysteine

  • 108607-50-7

    Benzyloxycarbonyl-S-benzylcysteinyl-tyrosyl-phenylalanine

  • 108607-44-9

    Benzyloxycarbonyl-S-benzylcysteinyl-tyrosyl-phenylalanyl-glutaminyl-asparaginyl-S-benzylcysteine

  • 108607-49-4

    Benzyloxycarbonyl-S-benzylcysteinyl-tyrosyl-phenylalanine phenylhydrazide

  • 108607-44-9

    Benzyloxycarbonyl-S-benzylcysteinyl-tyrosyl-phenylalanyl-glutaminyl-asparaginyl-S-benzylcysteine

  • 108517-79-9

    Benzyloxycarbonyl-S-benzylcysteinyl-tyrosyl-phenylalanine methyl ester

  • 108607-44-9

    Benzyloxycarbonyl-S-benzylcysteinyl-tyrosyl-phenylalanyl-glutaminyl-asparaginyl-S-benzylcysteine