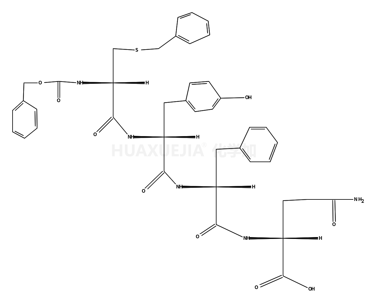
Benzyloxycarbonyl-S-benzylcysteinyl-tyrosyl-phenylalanyl-glutamine

Benzyloxycarbonyl-S-benzylcysteinyl-tyrosyl-phenylalanyl-glutamine 基本信息
CAS号 108607-53-0 分子式 C41H45N5O9S
分子量 783.88900 精确质量  783.29400
PSA  N/A LogP  N/A

合成路线 1

  • 108607-52-9

    Benzyloxycarbonyl-S-benzylcysteinyl-tyrosyl-phenylalanyl-glutamine Phenylhydrazide

  • ~67%

  • 108607-53-0

    Benzyloxycarbonyl-S-benzylcysteinyl-tyrosyl-phenylalanyl-glutamine