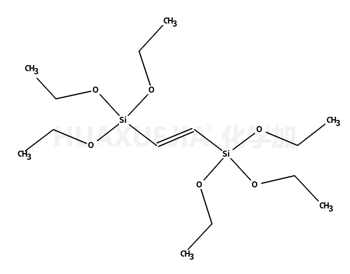
双(三乙氧基硅基)乙烯

双(三乙氧基硅基)乙烯 基本信息
CAS号 87061-56-1 分子式 C14H32O8Si2
分子量 384.57000 精确质量  384.16400
PSA  N/A LogP  N/A

合成路线 1

  • 64-17-5

    乙醇

  • +

  • 692-52-4

    trichloro(2-trichlorosilylethenyl)silane

  • ~92%

  • 87061-56-1

    双(三乙氧基硅基)乙烯

  • 78-08-0

    乙烯基三乙氧基硅烷

  • ~80%

  • 87061-56-1

    双(三乙氧基硅基)乙烯

  • 998-30-1

    三乙氧基硅烷

  • +

  • 78-08-0

    乙烯基三乙氧基硅烷

  • ~30%

  • 78-07-9

    乙基三乙氧基硅烷

  • +

  • 78-10-4

    硅酸四乙酯

  • +

  • 16068-37-4

    1,2-双(三乙氧基硅基)乙烷

  • +

  • 87061-56-1

    双(三乙氧基硅基)乙烯

  • +

  • 52885-14-0

    triethoxy(4-triethoxysilylbutyl)silane

  • +

  • 137963-74-7

    triethoxy(4-triethoxysilylbutan-2-yl)silane

  • 998-30-1

    三乙氧基硅烷

  • +

  • 74-86-2

    乙炔

  • ~6%

  • 78-08-0

    乙烯基三乙氧基硅烷

  • +

  • 87061-56-1

    双(三乙氧基硅基)乙烯

  • 998-30-1

    三乙氧基硅烷

  • +

  • 74-86-2

    乙炔

  • ~4%

  • 78-07-9

    乙基三乙氧基硅烷

  • +

  • 78-08-0

    乙烯基三乙氧基硅烷

  • +

  • 16068-37-4

    1,2-双(三乙氧基硅基)乙烷

  • +

  • 87061-56-1

    双(三乙氧基硅基)乙烯

  • 998-30-1

    三乙氧基硅烷

  • +

  • 78-08-0

    乙烯基三乙氧基硅烷

  • ~2%

  • 16068-37-4

    1,2-双(三乙氧基硅基)乙烷

  • +

  • 87061-56-1

    双(三乙氧基硅基)乙烯