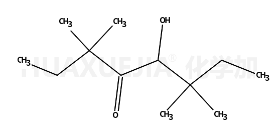
5-hydroxy-3,3,6,6-tetramethyloctan-4-one

5-hydroxy-3,3,6,6-tetramethyloctan-4-one 基本信息
CAS号 54623-37-9 分子式 C12H24O2
分子量 200.31800 精确质量  200.17800
PSA  N/A LogP  N/A

合成路线 1

  • 201230-82-2

    carbon monoxide

  • +

  • 65673-06-5

    magnesium,2-methylbutane,bromide

  • 54623-37-9

    5-hydroxy-3,3,6,6-tetramethyloctan-4-one

  • 5129-40-8

    ethyl 2,2-dimethylbutanoate

  • 54623-37-9

    5-hydroxy-3,3,6,6-tetramethyloctan-4-one