欢迎来到化学加!萃聚英才,共享化学!化学加,加您更精彩!
首页
注册入驻
网站资讯
化学加_合成化学产业资源聚合服务平台
www.huaxuejia.cn
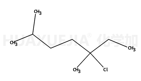
5-氯-2,5-二甲基庚烷
5-氯-2,5-二甲基庚烷 基本信息
CAS号
116631-97-1
分子式
C9H19Cl
分子量
162.70000
精确质量
162.11800
PSA
N/A
LogP
N/A
合成路线
共
1
页
1573-28-0
3,6-二甲基-3-庚醇
→
116631-97-1
5-氯-2,5-二甲基庚烷
合成路线