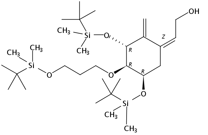
Ethanol, 2-[(3R,4R,5R)-3,5-bis[[(1,1-dimethylethyl)dimethylsilyl]oxy]-4-[3-[[(1,1-dimethylethyl)dimethylsilyl]oxy]propoxy]-2-methylenecyclohexylidene]-, (2Z)-

Ethanol, 2-[(3R,4R,5R)-3,5-bis[[(1,1-dimethylethyl)dimethylsilyl]oxy]-4-[3-[[(1,1-dimethylethyl)dimethylsilyl]oxy]propoxy]-2-methylenecyclohexylidene]-, (2Z)- 基本信息
CAS号 200636-42-6 分子式 C30H62O5Si3
分子量 587.08020 精确质量  586.39051
PSA  N/A LogP  N/A
目录

基本信息 展开↓

CAS号:
200636-42-6
3D弹球模型:
立即前往扯扯看
分子式:
C30H62O5Si3
分子量:
587.08020
英文名称:
Ethanol, 2-[(3R,4R,5R)-3,5-bis[[(1,1-dimethylethyl)dimethylsilyl]oxy]-4-[3-[[(1,1-dimethylethyl)dimethylsilyl]oxy]propoxy]-2-methylenecyclohexylidene]-, (2Z)-
英文别名:
Ethanol, 2-[3,5-bis[[(1,1-dimethylethyl)dimethylsilyl]oxy]-4-[3-[[(1,1-dimethylethyl)dimethylsilyl]oxy]propoxy]-2-methylenecyclohexylidene]-, [3R-(1Z,3α,4β,5β)]- (9CI);
(2Z)-2-[(3R,4R,5R)-3,5-Bis[[(1,1-dimethylethyl)dimethylsilyl]oxy]-4-[3-[[(1,1-dimethylethyl)dimethylsilyl]oxy]propoxy]-2-methylenecyclohexylidene]ethanol
精确分子量/精确质量:
586.39051
InChI:
The Key: LKDMRCVDAOOZGO-JZEAMISTSA-N
立即下载安装“化学加”APP
专业、功能强大,随时调用更加方便