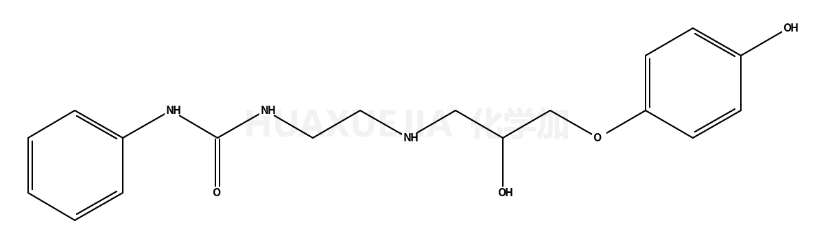
1-[2-[[2-hydroxy-3-(4-hydroxyphenoxy)propyl]amino]ethyl]-3-phenylurea

1-[2-[[2-hydroxy-3-(4-hydroxyphenoxy)propyl]amino]ethyl]-3-phenylurea 基本信息
CAS号 70636-53-2 分子式 C18H23N3O4
分子量 345.39300 精确质量  345.16900
PSA  N/A LogP  N/A

合成路线 1

  • 28150-30-3

    4-[(E)-{2-(氨基甲酰氨基)-4-[(5-氯-2,6-二氟嘧啶-4-基)氨基]苯基}二氮烯基]苯-1,3-二磺酸二钠

  • +

  • 53673-01-1

    1-(2-aminoethyl)-3-phenylurea

  • 70636-53-2

    1-[2-[[2-hydroxy-3-(4-hydroxyphenoxy)propyl]amino]ethyl]-3-phenylurea

  • 53673-01-1

    1-(2-aminoethyl)-3-phenylurea

  • 70636-53-2

    1-[2-[[2-hydroxy-3-(4-hydroxyphenoxy)propyl]amino]ethyl]-3-phenylurea

  • 28150-30-3

    4-[(E)-{2-(氨基甲酰氨基)-4-[(5-氯-2,6-二氟嘧啶-4-基)氨基]苯基}二氮烯基]苯-1,3-二磺酸二钠

  • 70636-53-2

    1-[2-[[2-hydroxy-3-(4-hydroxyphenoxy)propyl]amino]ethyl]-3-phenylurea