司班65

司班65 基本信息
CAS号 26658-19-5 分子式 C60H114O8
分子量 963.54200 精确质量  962.85100
PSA  108.36000 LogP  17.89740

基本信息 展开↓

CAS号:
26658-19-5
分子式:
C60H114O8
分子量:
963.54200
中文名称:
司班65
英文名称:
SORBITAN TRISTEARATE
中文别名:
司班65;
司本65;
山梨醇酐三硬脂酸酯;
硬脂酸山梨糖醇酐酯;
山梨糖醇酐三硬脂酸酯;
斯盘65;
S-65乳化剂;
乳化剂S-65;
脱水山梨醇三硬脂酸酯;
司盘65
英文别名:
SORBITAN TRISTEARATE;
Lonzest(R) STS;
SPAN 65;
SPAN(R) 65;
EmulsifierS65;
Glycomul(R) TS KFG;
SPAN(TM) 65;
EMALEX EG-2854-S;
Sorbitantristearat
精确分子量/精确质量:
962.85100
极性分子表面积/PSA:
108.36000
油水分配系数/LogP:

LogP值指的是某物质在正辛醇/水两相体系中的分配系数的对数值,反映了物质在油水两相中的分配情况。其中、LogP值越大,说明该物质越亲油;反之,LogP值越小,则说明该物质越亲水。
贝尔斯坦号/MDL:
MFCD00151165
EINECS:
247-891-4
InChI:
InChI=1/C60H116O9/c1-4-7-10-13-16-19-22-25-28-31-34-37-40-43-46-49-56(63)67-52-54(61)59(66)60(69-58(65)51-48-45-42-39-36-33-30-27-24-21-18-15-12-9-6-3)55(62)53-68-57(64)50-47-44-41-38-35-32-29-26-23-20-17-14-11-8-5-2/h54-55,59-62,66H,4-53H2,1-3H3

生产制备方法及用途展开↓

制备方法


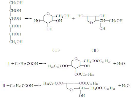
1.将1 mol山梨糖醇投入反应釜中,抽真空升温脱水,脱水完毕后压入熔化的硬脂酸3 mol,氢氧化钠催化剂1 kg。在减压条件下缓慢升温,2 h内升至180℃,然后每1 h升10℃,3 h后升温至210℃,在210℃下保温5 h,再升至220℃,反应1 h,取样测酸值,当酸值到13~15为合格,停止酯化。静置,冷却过夜,除去下层焦化物,上层用适量的双氧水脱色,最后升温至100℃,热压成型,冷却包装即为成品。反应如下:

合成制备方法


1.将1 mol山梨糖醇投入反应釜中,抽真空升温脱水,脱水完毕后压入熔化的硬脂酸3 mol,氢氧化钠催化剂1 kg。在减压条件下缓慢升温,2 h内升至180℃,然后每1 h升10℃,3 h后升温至210℃,在210℃下保温5 h,再升至220℃,反应1 h,取样测酸值,当酸值到13~15为合格,停止酯化。静置,冷却过夜,除去下层焦化物,上层用适量的双氧水脱色,最后升温至100℃,热压成型,冷却包装即为成品。反应如下:

用途简介


1.作W/O型食品乳化剂,单独使用或与吐温-60、吐温-80、吐温-65混合使用。我国规定可用于奶油、氢化植物油、速溶咖啡和干酵母,最大使用量为10.0g/kg;在饮料混浊剂中最大使用量为0.05g/kg。 2.主要用于医药、化妆品、纺织业等,作乳化剂、稳定剂、增稠剂、润滑剂,油田用作乳化剂。

用途


1.作W/O型食品乳化剂,单独使用或与吐温-60、吐温-80、吐温-65混合使用。我国规定可用于奶油、氢化植物油、速溶咖啡和干酵母,最大使用量为10.0g/kg;在饮料混浊剂中最大使用量为0.05g/kg。

2.主要用于医药、化妆品、纺织业等,作乳化剂、稳定剂、增稠剂、润滑剂,油田用作乳化剂。

物化性质展开↓

外观与性状:
一种淡奶油色至黄褐色的蜡质固体,带有一种淡特有的气味和温和的味道
密度:
0.96 g/cm3
沸点:
885.4ºC at 760 mmHg
闪点:
150 °C
折射率:
1.478
蒸汽压:
0mmHg at 25°C
存储条件/存储方法:

放入紧密的贮藏器内,储存在阴凉,干燥的地方

稳定性相关:

常温常压下稳定

避免接触强氧化剂

其它信息:

1.       性状:蜡黄色固体

2.       密度(g/mL,25/4℃):未确定

3.       相对蒸汽密度(g/mL,空气=1):未确定

4.       熔点(ºC):50-56

5.       沸点(ºC,常压):未确定

6.       沸点(ºC,5.2kPa):未确定

7.       折射率:未确定

8.       闪点(ºC):未确定

9.       比旋光度(º):未确定

10.    自燃点或引燃温度(ºC):未确定

11.    蒸气压(kpa,20ºC):未确定

12.    饱和蒸气压(kPa,60ºC):未确定

13.    燃烧热(KJ/mol):未确定

14.    临界温度(ºC):未确定

15.    临界压力(KPa):未确定

16.    油水(辛醇/水)分配系数的对数值:未确定

17.    爆炸上限(%,V/V):未确定

18.    爆炸下限(%,V/V):未确定

19.    溶解性:少量溶解于异丙醇、四氯乙烯、二甲苯中

安全信息展开↓

WGK_Germany:
1
德国有关水污染物质的分类清单

MSDS 展开↓


Section 1. Chemical Product and Company Identification
    Sorbitan tristearate
    Common Name/
    Trade Name
    Manufacturer
    Commercial Name(s)
    Synonym
    Chemical Name
    Chemical Family
    Sorbitan tristearate

Section 4. First Aid Measures
    Eye Contact        Check for and remove any contact lenses. In case of contact, immediately flush eyes with plenty of water for    
    at least 15 minutes. Get medical attention if irritation occurs.
    Skin Contact        Wash with soap and water. Cover the irritated skin with an emollient. Get medical attention if irritation    
    develops.
    Serious Skin Contact        Not available.    
    Inhalation        If inhaled, remove to fresh air. If not breathing, give artificial respiration. If breathing is difficult, give oxygen.    
    Get medical attention.
    Serious Inhalation        Not available.    
    Ingestion        Do NOT induce vomiting unless directed to do so by medical personnel. Never give anything by mouth to an    
    unconscious person. If large quantities of this material are swallowed, call a physician immediately. Loosen
    tight clothing such as a collar, tie, belt or waistband.
    Serious Ingestion        Not available.    

Section 5. Fire and Explosion Data
    Flammability of the Product May be combustible at high temperature.
    Auto-Ignition Temperature Not available.
    Flash Points        CLOSED CUP: 150°C (302°F).    
    Flammable Limits        Not available.    
    Products of Combustion        Not available.    
    Fire Hazards in Presence of Slightly flammable to flammable in presence of open flames and sparks, of heat.
    Various Substances
    Explosion Hazards in Presence Risks of explosion of the product in presence of mechanical impact: Not available.
    of Various Substances        Risks of explosion of the product in presence of static discharge: Not available.    
    Fire Fighting Media        SMALL FIRE: Use DRY chemical powder.    
    and Instructions        LARGE FIRE: Use water spray, fog or foam. Do not use water jet.    
    Special Remarks on        Not available.    
    Fire Hazards
    Special Remarks on Explosion Not available.
    Hazards

Section 6. Accidental Release Measures
    Small Spill        Absorb with an inert material and put the spilled material in an appropriate waste disposal.    
    Large Spill        Absorb with an inert material and put the spilled material in an appropriate waste disposal. Finish cleaning by    
    spreading water on the contaminated surface and allow to evacuate through the sanitary system.

Section 7. Handling and Storage
    Precautions        Keep away from heat. Keep away from sources of ignition. Ground all equipment containing material. Do not    
    breathe gas/fumes/ vapor/spray.
    Keep container tightly closed. Keep container in a cool, well-ventilated area.
    Storage
    Sorbitan tristearate

Section 8. Exposure Controls/Personal Protection
    Engineering Controls        Provide exhaust ventilation or other engineering controls to keep the airborne concentrations of vapors below    
    their respective threshold limit value. Ensure that eyewash stations and safety showers are proximal to the
    work-station location.
    Personal Protection        Safety glasses. Synthetic apron. Gloves (impervious). Respiratory protection is not necessary for normal    
    handling. Good room ventilation or use of local exhaust (fume hood) is sufficient. Use a vapor respirator
    under conditions where exposure to the substance is apparent (e.g. generation of high concentrations of mist
    or vapor, inadequate ventilation, development of respiratory tract irritation), and engineering controls are not
    feasible. Be sure to use an approved/certified respirator or equivalent.
    Personal Protection in Case of Splash goggles. Full suit. Boots. Gloves. Suggested protective clothing might not be sufficient; consult a
    a Large Spill        specialist BEFORE handling this product.    
    Exposure Limits        Not available.    

Section 9. Physical and Chemical Properties
    Physical state and appearance Liquid.        Odor        Not available.    
    Taste        Not available.    
    Molecular Weight        Not available.    
    Not available.
    Color
    pH (1% soln/water)        Not applicable.    
    Boiling Point        Not available.    
    Decomposes.
    Melting Point
    Critical Temperature        Not available.    
    0.95-0.98 (Water = 1)
    Specific Gravity
    Vapor Pressure        Not available.    
    Vapor Density        Not available.    
    Volatility        Not available.    
    Odor Threshold        Not available.    
    Not available.
    Water/Oil Dist. Coeff.
    Ionicity (in Water)        Not available.    
    Dispersion Properties        Not available.    
    Solubility        Insoluble in cold water.    

Section 10. Stability and Reactivity Data
    Stability        The product is stable.    
    Not available.
    Instability Temperature
    Conditions of Instability        Excess heat, incompatible materials    
    Incompatibility with various        Reactive with oxidizing agents.    
    substances
    Corrosivity        Non-corrosive in presence of glass.    
    Not available.
    Special Remarks on
    Reactivity
    Special Remarks on        Not available.    
    Corrosivity
    Polymerization        Will not occur.    
    Sorbitan tristearate

Section 11. Toxicological Information
    Routes of Entry        Inhalation. Ingestion.    
    Toxicity to Animals        LD50: Not available.    
    LC50: Not available.
    Chronic Effects on Humans Not available.
    Other Toxic Effects on
    Slightly hazardous in case of skin contact (irritant), of ingestion, of inhalation.
    Humans
    Special Remarks on        Not available.    
    Toxicity to Animals
    Special Remarks on        Not available.    
    Chronic Effects on Humans
    Special Remarks on other        Acute Potential Health Effects:    
    Toxic Effects on Humans        Skin: May cause skin irritation.    
    Eyes: May cause eye irritation.
    Inhalation: May cause respiratory tract irritation.
    Ingestion: May cause digestive tract irritation.

Section 12. Ecological Information
    Ecotoxicity        Not available.    
    BOD5 and COD        Not available.    
    Products of Biodegradation        Possibly hazardous short term degradation products are not likely. However, long term degradation products    
    may arise.
    Toxicity of the Products        Not available.    
    of Biodegradation
    Special Remarks on the        Not available.    
    Products of Biodegradation

Section 13. Disposal Considerations
    Waste Disposal        Waste must be disposed of in accordance with federal, state and local environmental    
    control regulations.

Section 14. Transport Information
    DOT Classification        Not a DOT controlled material (United States).    
    Not applicable.
    Identification
    Special Provisions for        Not applicable.    
    Transport
    DOT (Pictograms)
    Sorbitan tristearate

Section 15. Other Regulatory Information and Pictograms
    TSCA 8(b) inventory: Sorbitan tristearate
    Federal and State
    Regulations
    California        California prop. 65: This product contains the following ingredients for which the State of California has    
    Proposition 65        found to cause cancer which would require a warning under the statute: No products were found.    
    Warnings
    California prop. 65: This product contains the following ingredients for which the State of California has
    found to cause birth defects which would require a warning under the statute: No products were found.
    Other Regulations        EINECS: This product is on the European Inventory of Existing Commercial Chemical Substances (EINECS    
    No. 247-891-4).
    Canada: Listed on Canadian Domestic Substance List (DSL).
    China: Listed on National Inventory.
    Japan: Listed on National Inventory (ENCS).
    Korea: Listed on National Inventory (KECI).
    Philippines: Listed on National Inventory (PICCS).
    Australia: Listed on AICS.
    Other Classifications        WHMIS (Canada) Not controlled under WHMIS (Canada).    
    DSCL (EEC)        This product is not classified        Not applicable.    
    according to the EU regulations.
    Health Hazard
    HMIS (U.S.A.)        2 National Fire Protection    
    1 Flammability
    1 Association (U.S.A.)
    Fire Hazard
    1 0 Reactivity
    Health
    Reactivity
    1
    Specific hazard
    Personal Protection
    a
    WHMIS (Canada)
    (Pictograms)
    DSCL (Europe)
    (Pictograms)
    TDG (Canada)
    (Pictograms)
    ADR (Europe)
    (Pictograms)
    Protective Equipment
    Gloves (impervious).
    Lab coat.
    Not applicable.
    Safety glasses.


SECTION 16 - ADDITIONAL INFORMATION
N/A

分子结构与计算化学数据展开↓

分子结构数据


1、   摩尔折射率:286.61

2、   摩尔体积(cm3/mol):994.4

3、   等张比容(90.2K):2510.4

4、   表面张力(dyne/cm):40.6

5、   极化率(10-24cm3):113.62

计算化学数据


1、   疏水参数计算参考值(XlogP):24.3

2、   氢键供体数量:1

3、   氢键受体数量:8

4、   可旋转化学键数量:56

5、   拓扑分子极性表面积(TPSA):108

6、   重原子数:68

7、   表面电荷:0

8、   复杂度:1100

9、   同位素原子数量:0

10、 确定原子立构中心数量:3

11、 不确定原子立构中心数量:1

12、  确定化学键立构中心数量:0

13、  不确定化学键立构中心数量:0

14、   共价键单元数量:1

立即下载安装“化学加”APP
专业、功能强大,随时调用更加方便