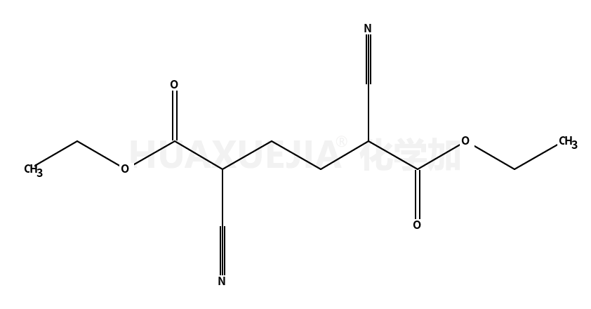
diethyl 2,5-dicyanohexanedioate

diethyl 2,5-dicyanohexanedioate 基本信息
CAS号 64661-04-7 分子式 C12H16N2O4
分子量 252.26600 精确质量  252.11100
PSA  N/A LogP  N/A

合成路线 1

  • 18852-51-2

    Acetic acid, cyano-, ethyl ester, ion(1-), sodium

  • +

  • 106-93-4

    二溴乙烷

  • 64661-04-7

    diethyl 2,5-dicyanohexanedioate

  • 1558-81-2

    1-氰基环丙基甲酸乙酯

  • +

  • 18852-51-2

    Acetic acid, cyano-, ethyl ester, ion(1-), sodium

  • 64661-04-7

    diethyl 2,5-dicyanohexanedioate