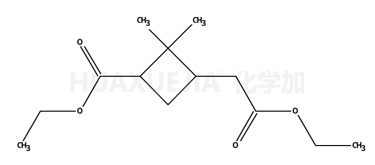
ethyl 3-(2-ethoxy-2-oxoethyl)-2,2-dimethylcyclobutane-1-carboxylate

ethyl 3-(2-ethoxy-2-oxoethyl)-2,2-dimethylcyclobutane-1-carboxylate 基本信息
CAS号 28664-03-1 分子式 C13H22O4
分子量 242.31100 精确质量  242.15200
PSA  N/A LogP  N/A

合成路线 1

  • 64-17-5

    乙醇

  • +

  • 28664-02-0

    Pinic acid

  • 28664-03-1

    ethyl 3-(2-ethoxy-2-oxoethyl)-2,2-dimethylcyclobutane-1-carboxylate

  • 473-72-3

    蒎酮酸

  • 28664-03-1

    ethyl 3-(2-ethoxy-2-oxoethyl)-2,2-dimethylcyclobutane-1-carboxylate