4-正十二烷基-2-甲基苯酚

4-正十二烷基-2-甲基苯酚 基本信息
CAS号 29665-59-6 分子式 C19H32O
分子量 276.45700 精确质量  276.24500
PSA  20.23000 LogP  6.16400

基本信息 展开↓

CAS号:
29665-59-6
3D弹球模型:
立即前往扯扯看
分子式:
C19H32O
分子量:
276.45700
中文名称:
4-正十二烷基-2-甲基苯酚
英文名称:
4-dodecyl-2-methylphenol
中文别名:
4-正十二烷基-2-甲基苯酚;
4-正十二烷基对甲酚;
4-十二烷基邻甲酚
英文别名:
4-dodecyl-2-methylphenol;
4-Lauryl-o-cresol;
4-Dodecyl-2-methylphenol;
2-methyl-4-dodecylphenol;
4-Dodecyl-O-cresol;
Phenol,4-dodecyl-2-methyl;
4-N-DODECYL-O-CRESOL;
4-n-dodecyl-o-cresol;
4-Dodecyl-o-cresol
精确分子量/精确质量:
276.24500
极性分子表面积/PSA:
20.23000
油水分配系数/LogP:

LogP值指的是某物质在正辛醇/水两相体系中的分配系数的对数值,反映了物质在油水两相中的分配情况。其中、LogP值越大,说明该物质越亲油;反之,LogP值越小,则说明该物质越亲水。
InChI:
The Key: RJLWSJUUDKAMPQ-UHFFFAOYSA-N

物化性质展开↓

密度:
0.915g/cm3
沸点:
388.2ºC at 760 mmHg
闪点:
40ºC
折射率:
1.5
蒸汽压:
1.39E-06mmHg at 25°C
存储条件/存储方法:

保持贮藏器密封、储存在阴凉、干燥的地方,确保工作间有良好的通风或排气装置

稳定性相关:

如果遵照规格使用和储存则不会分解,未有已知危险反应

其它信息:

1.         性状:未确定

2.         密度(g/mL,20):未确定

3.         相对蒸汽密度(g/mL,空气=1):未确定

4.         熔点(ºC):未确定

5.         沸点(ºC,常压):未确定

6.         沸点(ºC, KPa):未确定

7.         折射率:未确定

8.         闪点(ºC):40

9.         比旋光度(º):未确定

10.      自燃点或引燃温度(ºC):未确定

11.      蒸气压(Pa,20ºC):未确定

12.      饱和蒸气压(KPa,25ºC):未确定

13.      燃烧热(KJ/mol):未确定

14.      临界温度(ºC):未确定

15.      临界压力(KPa):未确定

16.      油水(辛醇/水)分配系数的对数值:未确定

17.      爆炸上限(%,V/V):未确定

18.      爆炸下限(%,V/V):未确定

19.     溶解性:未确定

安全信息展开↓

海关代码:
2907199090
危险类别码:
36/37/38
安全说明:
26-36/37/39
安全标志:
S26:万一接触眼睛,立即使用大量清水冲洗并送医诊治。
:

化学图谱

  1. 4-正十二烷基对甲酚红外图谱(IR1)

  2. 4-正十二烷基对甲酚红外图谱(IR2)

  3. 4-正十二烷基对甲酚质谱(MS)

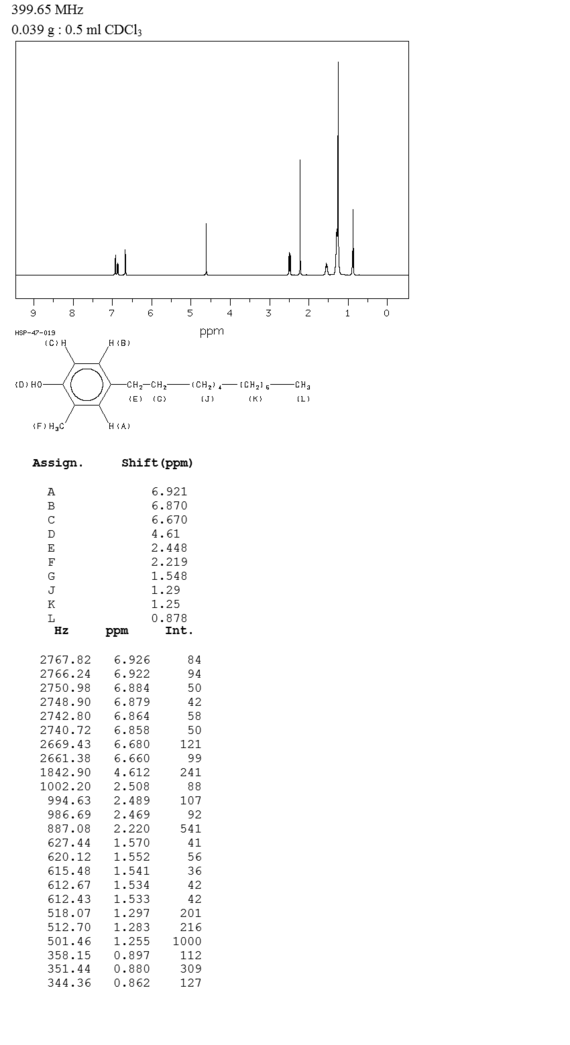
  4. 4-正十二烷基对甲酚核磁图(13CNMR)

  5. 4-正十二烷基对甲酚核磁图(1HNMR)

上一页 1/4 下一页

毒理性展开↓

生态数据:

若无政府许可,勿将材料排入周围环境。

MSDS 展开↓

  4-十二烷基邻甲酚      修改号码:2    

模块 1. 化学品
    产品名称:      4-Dodecyl-o-cresol    
    修改号码:      2    

模块 2. 危险性概述
  GHS分类
     物理性危害        未分类    
     健康危害        未分类    
     环境危害        未分类    
  GHS标签元素
     图标或危害标志        无    
     信号词        无信号词    
     危险描述        无    
     防范说明        无    

模块 3. 成分/组成信息
  单一物质/混和物        单一物质    
  化学名(中文名):      4-十二烷基邻甲酚    
    百分比:      >98.0%(GC)    
  CAS编码:      29665-59-6    
    俗名:      4-Lauryl-o-cresol    
    分子式:      C19H32O    

模块 4. 急救措施
    吸入:      将受害者移到新鲜空气处,保持呼吸通畅,休息。若感不适请求医/就诊。    
    皮肤接触:      立即去除/脱掉所有被污染的衣物。用水清洗皮肤/淋浴。    
  若皮肤刺激或发生皮疹:求医/就诊。
    眼睛接触:        用水小心清洗几分钟。如果方便,易操作,摘除隐形眼镜。继续清洗。    
  如果眼睛刺激:求医/就诊。
    食入:      若感不适,求医/就诊。漱口。    
    紧急救助者的防护:        救援者需要穿戴个人防护用品,比如橡胶手套和气密性护目镜。    

模块 5. 消防措施
    合适的灭火剂:        干粉,泡沫,雾状水,二氧化碳    
  4-十二烷基邻甲酚      修改号码:2    

模块 5. 消防措施
    特定方法:        从上风处灭火,根据周围环境选择合适的灭火方法。    
    非相关人员应该撤离至安全地方。
    周围一旦着火:如果安全,移去可移动容器。
    消防员的特殊防护用具:        灭火时,一定要穿戴个人防护用品。    

模块 6. 泄漏应急处理
    个人防护措施,防护用具,      使用个人防护用品。远离溢出物/泄露处并处在上风处。    
    紧急措施:        泄露区应该用安全带等圈起来,控制非相关人员进入。    
    环保措施:        防止进入下水道。    
    控制和清洗的方法和材料:        清扫收集粉尘,封入密闭容器。注意切勿分散。附着物或收集物应该立即根据合适的    
    法律法规处置。

模块 7. 操作处置与储存
    处理
    技术措施:        在通风良好处进行处理。穿戴合适的防护用具。防止粉尘扩散。处理后彻底清洗双手    
    和脸。
    注意事项:        如果粉尘或浮质产生,使用局部排气。    
    操作处置注意事项:        避免接触皮肤、眼睛和衣物。    
    贮存
    储存条件:        保持容器密闭。冷藏储存。    
    远离不相容的材料比如氧化剂存放。
    包装材料:        依据法律。    

模块 8. 接触控制和个体防护
    工程控制:        尽可能安装封闭体系或局部排风系统,操作人员切勿直接接触。同时安装淋浴器和洗    
    眼器。
    个人防护用品
     呼吸系统防护:        防尘面具。依据当地和政府法规。    
     手部防护:        防护手套。    
     眼睛防护:        安全防护镜。如果情况需要,佩戴面具。    
     皮肤和身体防护:        防护服。如果情况需要,穿戴防护靴。    

模块 9. 理化特性
    固体
  外形(20°C):
    外观:        晶体    
    颜色:      白色-极淡的黄色    
    气味:        无资料    
  pH:        无数据资料    
    熔点:      40°C (凝固点)    
  沸点/沸程        无资料    
    闪点:        无资料    
    爆炸特性
     爆炸下限:        无资料    
     爆炸上限:        无资料    
    密度:        无资料    
    溶解度:        无资料    

模块 10. 稳定性和反应性
    稳定性:        一般情况下稳定。    
  4-十二烷基邻甲酚      修改号码:2    

模块 10. 稳定性和反应性
    反应性:        未报道特殊反应性。    
    须避免接触的物质        氧化剂    
  危险的分解产物:      一氧化碳, 二氧化碳    

模块 11. 毒理学信息
    急性毒性:        无资料    
    对皮肤腐蚀或刺激:        无资料    
    对眼睛严重损害或刺激:        无资料    
    生殖细胞变异原性:        无资料    
    致癌性:
  IARC =        无资料    
  NTP =        无资料    
    生殖毒性:        无资料    

模块 12. 生态学信息
    生态毒性:
    鱼类:        无资料    
    甲壳类:        无资料    
    藻类:        无资料    
  残留性 / 降解性:        无资料    
  潜在生物累积 (BCF):        无资料    
    土壤中移动性
   log水分配系数:        无资料    
   土壤吸收系数 (Koc):        无资料    
     亨利定律        无资料    
  constant(PaM3/mol):

模块 13. 废弃处置
    如果可能,回收处理。请咨询当地管理部门。建议在可燃溶剂中溶解混合,在装有后燃和洗涤装置的化学焚烧炉中
    焚烧。废弃处置时请遵守国家、地区和当地的所有法规。

模块 14. 运输信息
    联合国分类:        与联合国分类标准不一致    
  UN编号:        未列明    

模块 15. 法规信息
  《危险化学品安全管理条例》(2002年1月26日国务院发布): 针对危险化学品的安全使用、生产、储存、运输、装
    卸等方面均作了相应的规定。
  4-十二烷基邻甲酚      修改号码:2    


模块16 - 其他信息
N/A

海关数据查看详细

中国海关编码:2907199090

概述:
2907199090 其他一元酚. 增值税率:17.0% 退税率:9.0% 监管条件:无 最惠国关税:5.5% 普通关税:30.0%
申报要素:
品名, 成分含量, 用途
摘要/Summary:
2907199090 other monophenols VAT:17.0% Tax rebate rate:9.0% Supervision conditions:none MFN tariff:5.5% General tariff:30.0%

分子结构与计算化学数据展开↓

计算化学数据


1.疏水参数计算参考值(XlogP):无

2.氢键供体数量:1

3.氢键受体数量:1

4.可旋转化学键数量:11

5.互变异构体数量:3

6.拓扑分子极性表面积20.2

7.重原子数量:20

8.表面电荷:0

9.复杂度:214

10.同位素原子数量:0

11.确定原子立构中心数量:0

12.不确定原子立构中心数量:0

13.确定化学键立构中心数量:0

14.不确定化学键立构中心数量:0

15.共价键单元数量:1

立即下载安装“化学加”APP
专业、功能强大,随时调用更加方便