欢迎来到化学加!萃聚英才,共享化学!化学加,加您更精彩!
首页
注册入驻
网站资讯
化学加_合成化学产业资源聚合服务平台
www.huaxuejia.cn
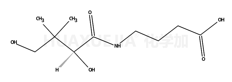
右泛醇杂质I
右泛醇杂质I 基本信息
CAS号
18679-90-8
分子式
C10H19NO5
分子量
233.26200
精确质量
233.12600
PSA
N/A
LogP
N/A
合成路线
共
1
页
599-04-2
D-(-)-泛酰内酯
+
56-12-2
γ-氨基丁酸
→
~96%
18679-90-8
右泛醇杂质I
合成路线