(2R,4S,5R)-5-[(1R,2S)-1-acetamido-2-methoxy-2-methylpentyl]-4-[(Z)-prop-1-enyl]pyrrolidine-2-carboxylic acid

(2R,4S,5R)-5-[(1R,2S)-1-acetamido-2-methoxy-2-methylpentyl]-4-[(Z)-prop-1-enyl]pyrrolidine-2-carboxylic acid 基本信息
CAS号 335679-69-1 分子式 C17H30N2O4
分子量 326.43100 精确质量  326.22100
PSA  N/A LogP  N/A

合成路线 1

  • 335692-78-9

    1-Pyrrolidinecarboxylic acid,2-[(1R,2S)-1-(acetylamino)-2-methoxy-2-methylpentyl]-5-cyano-3-(1Z)-1-propenyl-, 1,1-dimethylethyl ester, (2R,3S,5R)-

  • ~70%

  • 335679-69-1

    (2R,4S,5R)-5-[(1R,2S)-1-acetamido-2-methoxy-2-methylpentyl]-4-[(Z)-prop-1-enyl]pyrrolidine-2-carboxylic acid

  • 408505-26-0

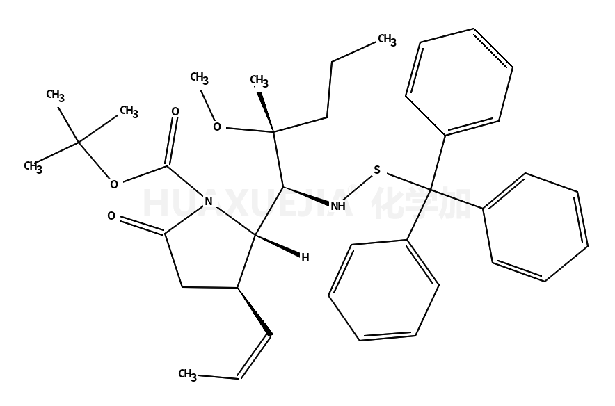
    tert-butyl (2R,3S,5R)-5-cyano-2-{(1R,2S)-2-methoxy-2-methyl-1-[(tritylthio)amino]pentyl}-3-[(1Z)-prop-1-enyl]pyrrolidine-1-carboxylate

  • 335679-69-1

    (2R,4S,5R)-5-[(1R,2S)-1-acetamido-2-methoxy-2-methylpentyl]-4-[(Z)-prop-1-enyl]pyrrolidine-2-carboxylic acid

  • 408505-25-9

    tert-butyl (2R,3S)-5-methoxy-2-((1R,2S)-2-methoxy-2-methyl-1-((tritylthio)amino)pentyl)-3-((Z)-prop-1-en-1-yl)pyrrolidine-1-carboxylate

  • 335679-69-1

    (2R,4S,5R)-5-[(1R,2S)-1-acetamido-2-methoxy-2-methylpentyl]-4-[(Z)-prop-1-enyl]pyrrolidine-2-carboxylic acid

  • 408505-23-7

    408505-23-7

  • 335679-69-1

    (2R,4S,5R)-5-[(1R,2S)-1-acetamido-2-methoxy-2-methylpentyl]-4-[(Z)-prop-1-enyl]pyrrolidine-2-carboxylic acid

  • 408505-24-8

    408505-24-8

  • 335679-69-1

    (2R,4S,5R)-5-[(1R,2S)-1-acetamido-2-methoxy-2-methylpentyl]-4-[(Z)-prop-1-enyl]pyrrolidine-2-carboxylic acid

  • 335693-16-8

    tert-butyl (2R,3S,5R)-5-cyano-2-((1R,2S)-2-methoxy-2-methyl-1-{[(R)-(4-methylphenyl)sulfinyl]amino}pentyl)-3-[(1Z)-prop-1-enyl]pyrrolidine-1-carboxylate

  • 335679-69-1

    (2R,4S,5R)-5-[(1R,2S)-1-acetamido-2-methoxy-2-methylpentyl]-4-[(Z)-prop-1-enyl]pyrrolidine-2-carboxylic acid

  • 408505-28-2

    tert-butyl (2R,3S)-5-hydroxy-2-((1R,2S)-2-methoxy-2-methyl-1-(((R)-p-tolylsulfinyl)amino)pentyl)-3-((Z)-prop-1-en-1-yl)pyrrolidine-1-carboxylate

  • 335679-69-1

    (2R,4S,5R)-5-[(1R,2S)-1-acetamido-2-methoxy-2-methylpentyl]-4-[(Z)-prop-1-enyl]pyrrolidine-2-carboxylic acid

  • 335693-12-4

    tert-butyl (2R,3S)-2-((1R,2S)-2-methoxy-2-methyl-1-{[(R)-(4-methylphenyl)sulfinyl]amino}pentyl)-5-oxo-3-[(1Z)-prop-1-enyl]pyrrolidine-1-carboxylate

  • 335679-69-1

    (2R,4S,5R)-5-[(1R,2S)-1-acetamido-2-methoxy-2-methylpentyl]-4-[(Z)-prop-1-enyl]pyrrolidine-2-carboxylic acid

  • 335693-08-8

    tert-butyl (2R)-2-((1R,2S)-2-methoxy-2-methyl-1-{[(R)-(4-methylphenyl)sulfinyl]amino}pentyl)-5-oxo-2,5-dihydro-1H-pyrrole-1-carboxylate

  • 335679-69-1

    (2R,4S,5R)-5-[(1R,2S)-1-acetamido-2-methoxy-2-methylpentyl]-4-[(Z)-prop-1-enyl]pyrrolidine-2-carboxylic acid

  • 471257-47-3

    471257-47-3

  • 335679-69-1

    (2R,4S,5R)-5-[(1R,2S)-1-acetamido-2-methoxy-2-methylpentyl]-4-[(Z)-prop-1-enyl]pyrrolidine-2-carboxylic acid

  • 471257-44-0

    471257-44-0

  • 335679-69-1

    (2R,4S,5R)-5-[(1R,2S)-1-acetamido-2-methoxy-2-methylpentyl]-4-[(Z)-prop-1-enyl]pyrrolidine-2-carboxylic acid

  • 335637-16-6

    (2S)-2-methoxy-2-methylpentanal

  • 335679-69-1

    (2R,4S,5R)-5-[(1R,2S)-1-acetamido-2-methoxy-2-methylpentyl]-4-[(Z)-prop-1-enyl]pyrrolidine-2-carboxylic acid

  • 335693-23-7

    tert-butyl (2R)-2-{(1R,2S)-2-methoxy-2-methyl-1-[(triphenylmethylsulfenyl)amino]pentyl}-5-oxo-2,5-dihydro-1H-pyrrole-1-carboxylate

  • 335679-69-1

    (2R,4S,5R)-5-[(1R,2S)-1-acetamido-2-methoxy-2-methylpentyl]-4-[(Z)-prop-1-enyl]pyrrolidine-2-carboxylic acid

  • 335637-15-5

    ((((2S)-2-methoxy-2-methylpentyl)oxy)methyl)benzene

  • 335679-69-1

    (2R,4S,5R)-5-[(1R,2S)-1-acetamido-2-methoxy-2-methylpentyl]-4-[(Z)-prop-1-enyl]pyrrolidine-2-carboxylic acid

  • 335637-14-4

    (2S)-1-(benzyloxy)-2-methyl-2-pentanol

  • 335679-69-1

    (2R,4S,5R)-5-[(1R,2S)-1-acetamido-2-methoxy-2-methylpentyl]-4-[(Z)-prop-1-enyl]pyrrolidine-2-carboxylic acid

  • 335692-86-9

    [(2R,3R)-3-ethyl-2-methyloxiran-2-yl]methyl benzoate

  • 335679-69-1

    (2R,4S,5R)-5-[(1R,2S)-1-acetamido-2-methoxy-2-methylpentyl]-4-[(Z)-prop-1-enyl]pyrrolidine-2-carboxylic acid

  • 133964-47-3

    (2S)-2-methyl-1,2-pentanediol

  • 335679-69-1

    (2R,4S,5R)-5-[(1R,2S)-1-acetamido-2-methoxy-2-methylpentyl]-4-[(Z)-prop-1-enyl]pyrrolidine-2-carboxylic acid

  • 1567-14-2

    反-2-甲基-2-戊烯酸甲酯

  • 335679-69-1

    (2R,4S,5R)-5-[(1R,2S)-1-acetamido-2-methoxy-2-methylpentyl]-4-[(Z)-prop-1-enyl]pyrrolidine-2-carboxylic acid

  • 16958-19-3

    2-Penten-1-ol, 2-methyl-, (E)-

  • 335679-69-1

    (2R,4S,5R)-5-[(1R,2S)-1-acetamido-2-methoxy-2-methylpentyl]-4-[(Z)-prop-1-enyl]pyrrolidine-2-carboxylic acid

  • 471257-50-8

    471257-50-8

  • 335679-69-1

    (2R,4S,5R)-5-[(1R,2S)-1-acetamido-2-methoxy-2-methylpentyl]-4-[(Z)-prop-1-enyl]pyrrolidine-2-carboxylic acid

  • 433711-85-4

    433711-85-4

  • 335679-69-1

    (2R,4S,5R)-5-[(1R,2S)-1-acetamido-2-methoxy-2-methylpentyl]-4-[(Z)-prop-1-enyl]pyrrolidine-2-carboxylic acid

  • 471257-49-5

    471257-49-5

  • 335679-69-1

    (2R,4S,5R)-5-[(1R,2S)-1-acetamido-2-methoxy-2-methylpentyl]-4-[(Z)-prop-1-enyl]pyrrolidine-2-carboxylic acid

  • 335679-41-9

    (2R,3S,5R,1'R,2'S)-2-(1-Acetamido-2-methyl-2-methoxy)pentyl-3-(cis-propen-1-yl)-pyrrolidine-5-carboxylic Acid Ethyl Ester

  • 335679-69-1

    (2R,4S,5R)-5-[(1R,2S)-1-acetamido-2-methoxy-2-methylpentyl]-4-[(Z)-prop-1-enyl]pyrrolidine-2-carboxylic acid

  • 433711-87-6

    (5R)-tert-butoxycarbonylamino-(4R)-[hydroxy-(2,4-dimethoxybenzyl)-amino]-(6S)-methoxy-(6S)-methylnon-2-ynoic acid ethyl ester

  • 335679-69-1

    (2R,4S,5R)-5-[(1R,2S)-1-acetamido-2-methoxy-2-methylpentyl]-4-[(Z)-prop-1-enyl]pyrrolidine-2-carboxylic acid

  • 433711-89-8

    {(2S)-methoxy-(1R)-[1-(2,4-dimethoxy)-benzyl-5-oxo-(3S)-Z-propenylpyrrolidin-(2R)-yl]-(2S)-methylpentyl}-carbamic acid tert-butyl ester

  • 335679-69-1

    (2R,4S,5R)-5-[(1R,2S)-1-acetamido-2-methoxy-2-methylpentyl]-4-[(Z)-prop-1-enyl]pyrrolidine-2-carboxylic acid

  • 433711-82-1

    (5R)-tert-butoxycarbonylamino-(4R)-[hydroxy-(4-methoxybenzyl)-amino]-(6S)-methoxy-(6S)-methylnon-2-ynoic acid tert-butyl ester

  • 335679-69-1

    (2R,4S,5R)-5-[(1R,2S)-1-acetamido-2-methoxy-2-methylpentyl]-4-[(Z)-prop-1-enyl]pyrrolidine-2-carboxylic acid

  • 433711-81-0

    (5R)-tert-butoxycarbonylamino-(4R)-[hydroxy-(4-methoxybenzyl)-amino]-(6S)-methoxy-(6S)-methylnon-2-ynoic acid ethyl ester

  • 335679-69-1

    (2R,4S,5R)-5-[(1R,2S)-1-acetamido-2-methoxy-2-methylpentyl]-4-[(Z)-prop-1-enyl]pyrrolidine-2-carboxylic acid

  • 433711-92-3

    N-{(2S)-methoxy-(1R)-[1-(2,4-dimethoxybenzyl)-5-oxo-(3S)-Z-propenylpyrrolidin-(2R)-yl]-(2S)-methylpentyl}-acetamide

  • 335679-69-1

    (2R,4S,5R)-5-[(1R,2S)-1-acetamido-2-methoxy-2-methylpentyl]-4-[(Z)-prop-1-enyl]pyrrolidine-2-carboxylic acid

  • 433711-83-2

    {(2S)-methoxy-(1R)-[1-(4-methoxybenzyl)-5-oxo-(3S)-Z-propenylpyrrolidin-(2R)-yl]-(2S)-methylpentyl}-carbamic acid tert-butyl ester

  • 335679-69-1

    (2R,4S,5R)-5-[(1R,2S)-1-acetamido-2-methoxy-2-methylpentyl]-4-[(Z)-prop-1-enyl]pyrrolidine-2-carboxylic acid

  • 433711-88-7

    {(2S)-methoxy-(1R)-[1'-(2,4-dimethoxybenzyl)-5'-oxo-2',5'-dihydro-1H-pyrrol-(2'R)-yl]-(2S)-methylpentyl}-carbamic acid tert-butyl ester

  • 335679-69-1

    (2R,4S,5R)-5-[(1R,2S)-1-acetamido-2-methoxy-2-methylpentyl]-4-[(Z)-prop-1-enyl]pyrrolidine-2-carboxylic acid

  • 433711-84-3

    N-{(2S)-methoxy-(1R)-[1-(4-methoxybenzyl)-5-oxo-(3S)-Z-propenylpyrrolidin-(2R)-yl]-(2S)-methylpentyl}-acetamide

  • 335679-69-1

    (2R,4S,5R)-5-[(1R,2S)-1-acetamido-2-methoxy-2-methylpentyl]-4-[(Z)-prop-1-enyl]pyrrolidine-2-carboxylic acid

  • 433711-91-2

    (4S,5R)-5-((1R,2S)-1-amino-2-methoxy-2-methylpentyl)-1-(2,4-dimethoxybenzyl)-4-((Z)-prop-1-en-1-yl)pyrrolidin-2-one

  • 335679-69-1

    (2R,4S,5R)-5-[(1R,2S)-1-acetamido-2-methoxy-2-methylpentyl]-4-[(Z)-prop-1-enyl]pyrrolidine-2-carboxylic acid

  • 433711-90-1

    (4S,5R)-5-((1R,2S)-1-amino-2-methoxy-2-methylpentyl)-1-(4-methoxybenzyl)-4-((Z)-prop-1-en-1-yl)pyrrolidin-2-one

  • 335679-69-1

    (2R,4S,5R)-5-[(1R,2S)-1-acetamido-2-methoxy-2-methylpentyl]-4-[(Z)-prop-1-enyl]pyrrolidine-2-carboxylic acid

  • 433711-86-5

    (2R,3S,Z)-2-((tert-butoxycarbonyl)amino)-N-(2,4-dimethoxybenzyl)-3-methoxy-3-methylhexan-1-imine oxide

  • 335679-69-1

    (2R,4S,5R)-5-[(1R,2S)-1-acetamido-2-methoxy-2-methylpentyl]-4-[(Z)-prop-1-enyl]pyrrolidine-2-carboxylic acid

  • 335693-89-5

    {(2S)-methoxy-(1R)-[1'-(4-methoxybenzyl)-5'-oxo-2',5'-dihydro-1H-pyrrol-(2'R)-yl]-(2S)-methylpentyl}-carbamic acid tert-butyl ester

  • 335679-69-1

    (2R,4S,5R)-5-[(1R,2S)-1-acetamido-2-methoxy-2-methylpentyl]-4-[(Z)-prop-1-enyl]pyrrolidine-2-carboxylic acid

  • 471257-48-4

    471257-48-4

  • 335679-69-1

    (2R,4S,5R)-5-[(1R,2S)-1-acetamido-2-methoxy-2-methylpentyl]-4-[(Z)-prop-1-enyl]pyrrolidine-2-carboxylic acid

  • 335693-80-6

    (2R,3S,Z)-2-((tert-butoxycarbonyl)amino)-3-methoxy-N-(4-methoxybenzyl)-3-methylhexan-1-imine oxide

  • 335679-69-1

    (2R,4S,5R)-5-[(1R,2S)-1-acetamido-2-methoxy-2-methylpentyl]-4-[(Z)-prop-1-enyl]pyrrolidine-2-carboxylic acid

  • 433711-93-4

    tert-butyl (R)-4-((S)-2-methoxypentan-2-yl)-2,2-dimethyloxazolidine-3-carboxylate

  • 335679-69-1

    (2R,4S,5R)-5-[(1R,2S)-1-acetamido-2-methoxy-2-methylpentyl]-4-[(Z)-prop-1-enyl]pyrrolidine-2-carboxylic acid

  • 433711-79-6

    (4R,1'S)-4-(1-hydroxy-1-methyl-butyl)-2,2-dimethyloxazolidine-3-carboxylic acid tert-butyl ester

  • 335679-69-1

    (2R,4S,5R)-5-[(1R,2S)-1-acetamido-2-methoxy-2-methylpentyl]-4-[(Z)-prop-1-enyl]pyrrolidine-2-carboxylic acid

  • 335693-71-5

    tert-butyl ((2R,3S)-1-hydroxy-3-methoxy-3-methylhexan-2-yl)carbamate

  • 335679-69-1

    (2R,4S,5R)-5-[(1R,2S)-1-acetamido-2-methoxy-2-methylpentyl]-4-[(Z)-prop-1-enyl]pyrrolidine-2-carboxylic acid

  • 335693-75-9

    (1S,2S)-(1-formyl-2-methoxy-2-methylpentyl)-carbamic acid tert-butyl ester

  • 335679-69-1

    (2R,4S,5R)-5-[(1R,2S)-1-acetamido-2-methoxy-2-methylpentyl]-4-[(Z)-prop-1-enyl]pyrrolidine-2-carboxylic acid

  • 176108-62-6

    3-Oxazolidinecarboxylic acid, 2,2-dimethyl-4-(1-oxo-3-butenyl)-,1,1-dimethylethyl ester, (4R)-

  • 335679-69-1

    (2R,4S,5R)-5-[(1R,2S)-1-acetamido-2-methoxy-2-methylpentyl]-4-[(Z)-prop-1-enyl]pyrrolidine-2-carboxylic acid