欢迎来到化学加!萃聚英才,共享化学!化学加,加您更精彩!
首页
注册入驻
网站资讯
化学加_合成化学产业资源聚合服务平台
www.huaxuejia.cn
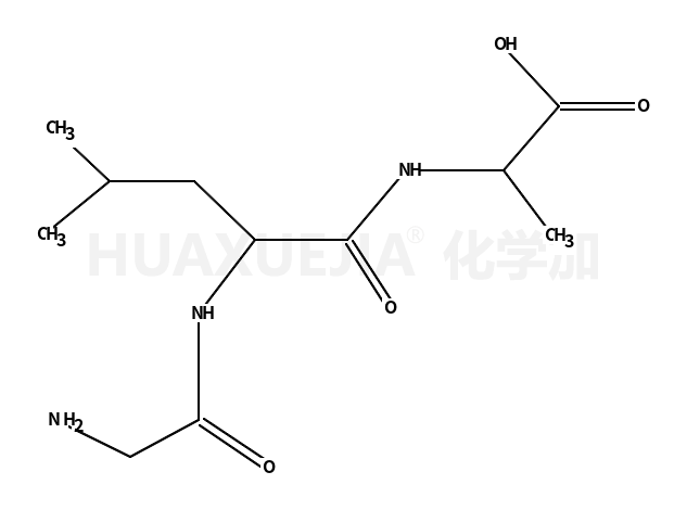
甘氨酰亮氨酰丙氨酸
甘氨酰亮氨酰丙氨酸 基本信息
CAS号
78681-93-3
分子式
C11H21N3O4
分子量
259.30200
精确质量
259.15300
PSA
N/A
LogP
N/A
合成路线
共
1
页
5060-46-8
H-DL-LEU-DL-ALA-OH
→
78681-93-3
甘氨酰亮氨酰丙氨酸
合成路线