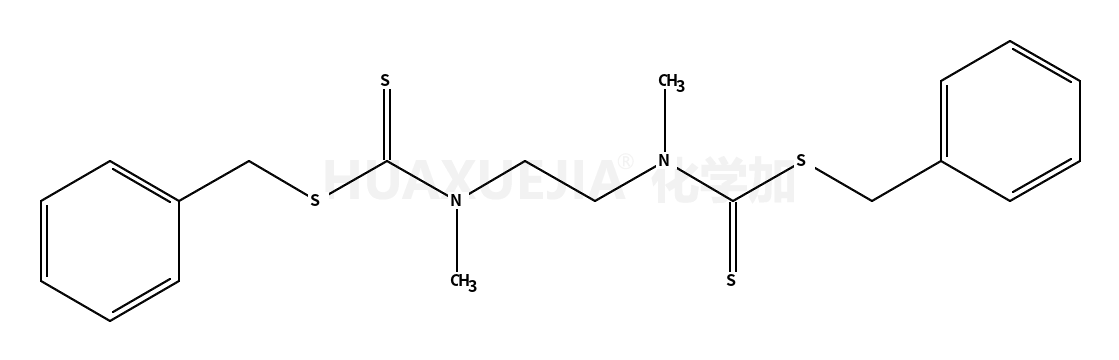
benzyl N-[2-[benzylsulfanylcarbothioyl(methyl)amino]ethyl]-N-methylcarbamodithioate

benzyl N-[2-[benzylsulfanylcarbothioyl(methyl)amino]ethyl]-N-methylcarbamodithioate 基本信息
CAS号 74683-48-0 分子式 C20H24N2S4
分子量 420.67800 精确质量  420.08200
PSA  N/A LogP  N/A

合成路线 1

  • 74683-45-7

    N-[2-[carbonochloridothioyl(methyl)amino]ethyl]-N-methylcarbamothioyl chloride

  • +

  • 100-53-8

    苄硫醇

  • 74683-48-0

    benzyl N-[2-[benzylsulfanylcarbothioyl(methyl)amino]ethyl]-N-methylcarbamodithioate