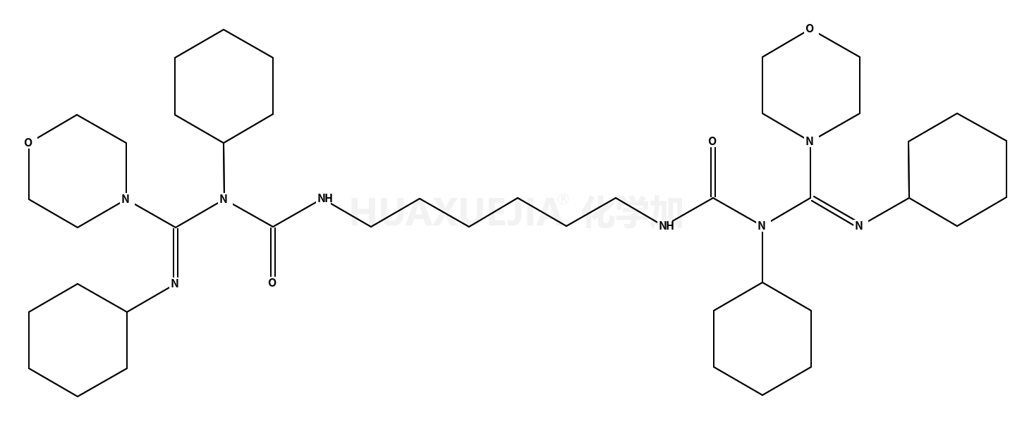
1,1'-六亚甲基二(3-环己基-3-((环己基亚氨基)(4-吗啉基)甲基)脲)

1,1'-六亚甲基二(3-环己基-3-((环己基亚氨基)(4-吗啉基)甲基)脲) 基本信息
CAS号 117688-40-1 分子式 C42H74N8O4
分子量 755.08800 精确质量  754.58300
PSA  N/A LogP  N/A

合成路线 1

  • 4975-73-9

    N,N'-二环己基-4-吗啉脒

  • +

  • 822-06-0

    1,6-己二异氰酸酯

  • ~89%

  • 117688-40-1

    1,1'-六亚甲基二(3-环己基-3-((环己基亚氨基)(4-吗啉基)甲基)脲)