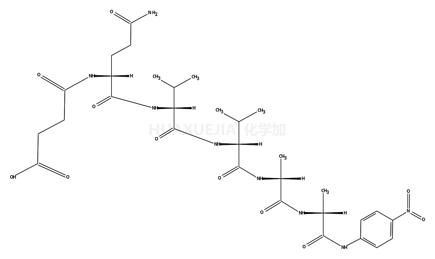
4-[[(2S)-5-amino-1-[[(2S)-3-methyl-1-[[(2S)-3-methyl-1-[[(2S)-1-[[(2S)-2-(4-nitroanilino)propanoyl]amino]-1-oxopropan-2-yl]amino]-1-oxobutan-2-yl]amino]-1-oxobutan-2-yl]amino]-1,5-dioxopentan-2-yl]amino]-4-oxobutanoic acid

4-[[(2S)-5-amino-1-[[(2S)-3-methyl-1-[[(2S)-3-methyl-1-[[(2S)-1-[[(2S)-2-(4-nitroanilino)propanoyl]amino]-1-oxopropan-2-yl]amino]-1-oxobutan-2-yl]amino]-1-oxobutan-2-yl]amino]-1,5-dioxopentan-2-yl]amino]-4-oxobutanoic acid 基本信息
CAS号 115700-57-7 分子式 C31H46N8O11
分子量 706.74400 精确质量  706.32900
PSA  N/A LogP  N/A

合成路线 1

  • 108-30-5

    丁二酸酐

  • +

  • 748095-60-5

    748095-60-5

  • ~68%

  • 115700-57-7

    4-[[(2S)-5-amino-1-[[(2S)-3-methyl-1-[[(2S)-3-methyl-1-[[(2S)-1-[[(2S)-2-(4-nitroanilino)propanoyl]amino]-1-oxopropan-2-yl]amino]-1-oxobutan-2-yl]amino]-1-oxobutan-2-yl]amino]-1,5-dioxopentan-2-yl]amino]-4-oxobutanoic acid

  • 1168-86-1

    1168-86-1

  • 115700-57-7

    4-[[(2S)-5-amino-1-[[(2S)-3-methyl-1-[[(2S)-3-methyl-1-[[(2S)-1-[[(2S)-2-(4-nitroanilino)propanoyl]amino]-1-oxopropan-2-yl]amino]-1-oxobutan-2-yl]amino]-1-oxobutan-2-yl]amino]-1,5-dioxopentan-2-yl]amino]-4-oxobutanoic acid

  • 117507-16-1

    117507-16-1

  • 115700-57-7

    4-[[(2S)-5-amino-1-[[(2S)-3-methyl-1-[[(2S)-3-methyl-1-[[(2S)-1-[[(2S)-2-(4-nitroanilino)propanoyl]amino]-1-oxopropan-2-yl]amino]-1-oxobutan-2-yl]amino]-1-oxobutan-2-yl]amino]-1,5-dioxopentan-2-yl]amino]-4-oxobutanoic acid

  • 181190-26-1

    H-Val-Val-Ala-Ala-pNA

  • 115700-57-7

    4-[[(2S)-5-amino-1-[[(2S)-3-methyl-1-[[(2S)-3-methyl-1-[[(2S)-1-[[(2S)-2-(4-nitroanilino)propanoyl]amino]-1-oxopropan-2-yl]amino]-1-oxobutan-2-yl]amino]-1-oxobutan-2-yl]amino]-1,5-dioxopentan-2-yl]amino]-4-oxobutanoic acid

  • 117507-20-7

    117507-20-7

  • 115700-57-7

    4-[[(2S)-5-amino-1-[[(2S)-3-methyl-1-[[(2S)-3-methyl-1-[[(2S)-1-[[(2S)-2-(4-nitroanilino)propanoyl]amino]-1-oxopropan-2-yl]amino]-1-oxobutan-2-yl]amino]-1-oxobutan-2-yl]amino]-1,5-dioxopentan-2-yl]amino]-4-oxobutanoic acid

  • 41445-88-9

    41445-88-9

  • 115700-57-7

    4-[[(2S)-5-amino-1-[[(2S)-3-methyl-1-[[(2S)-3-methyl-1-[[(2S)-1-[[(2S)-2-(4-nitroanilino)propanoyl]amino]-1-oxopropan-2-yl]amino]-1-oxobutan-2-yl]amino]-1-oxobutan-2-yl]amino]-1,5-dioxopentan-2-yl]amino]-4-oxobutanoic acid

  • 1668-13-9

    L-丙氨酸4-硝基酰苯胺

  • 115700-57-7

    4-[[(2S)-5-amino-1-[[(2S)-3-methyl-1-[[(2S)-3-methyl-1-[[(2S)-1-[[(2S)-2-(4-nitroanilino)propanoyl]amino]-1-oxopropan-2-yl]amino]-1-oxobutan-2-yl]amino]-1-oxobutan-2-yl]amino]-1,5-dioxopentan-2-yl]amino]-4-oxobutanoic acid

  • 1149-26-4

    CBZ-L-缬氨酸

  • 115700-57-7

    4-[[(2S)-5-amino-1-[[(2S)-3-methyl-1-[[(2S)-3-methyl-1-[[(2S)-1-[[(2S)-2-(4-nitroanilino)propanoyl]amino]-1-oxopropan-2-yl]amino]-1-oxobutan-2-yl]amino]-1-oxobutan-2-yl]amino]-1,5-dioxopentan-2-yl]amino]-4-oxobutanoic acid

  • 7763-16-8

    Z-谷氨酰胺对硝基苯酯

  • 115700-57-7

    4-[[(2S)-5-amino-1-[[(2S)-3-methyl-1-[[(2S)-3-methyl-1-[[(2S)-1-[[(2S)-2-(4-nitroanilino)propanoyl]amino]-1-oxopropan-2-yl]amino]-1-oxobutan-2-yl]amino]-1-oxobutan-2-yl]amino]-1,5-dioxopentan-2-yl]amino]-4-oxobutanoic acid