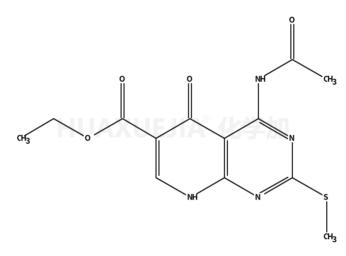
ethyl 4-acetamido-2-methylsulfanyl-5-oxo-8H-pyrido[2,3-d]pyrimidine-6-carboxylate

ethyl 4-acetamido-2-methylsulfanyl-5-oxo-8H-pyrido[2,3-d]pyrimidine-6-carboxylate 基本信息
CAS号 36707-44-5 分子式 C13H14N4O4S
分子量 322.34000 精确质量  322.07400
PSA  N/A LogP  N/A

合成路线 1

  • 36707-43-4

    diethyl 2-[[(6-acetamido-2-methylsulfanylpyrimidin-4-yl)amino]methylidene]propanedioate

  • ~69%

  • 36707-44-5

    ethyl 4-acetamido-2-methylsulfanyl-5-oxo-8H-pyrido[2,3-d]pyrimidine-6-carboxylate

  • 87-13-8

    乙氧基甲叉丙二酸二乙酯

  • 36707-44-5

    ethyl 4-acetamido-2-methylsulfanyl-5-oxo-8H-pyrido[2,3-d]pyrimidine-6-carboxylate

  • 36707-42-3

    diethyl 2-[[(6-amino-2-methylsulfanylpyrimidin-4-yl)amino]methylidene]propanedioate

  • 36707-44-5

    ethyl 4-acetamido-2-methylsulfanyl-5-oxo-8H-pyrido[2,3-d]pyrimidine-6-carboxylate

  • 41343-58-2

    diethylethoxy methylene malonate

  • 36707-44-5

    ethyl 4-acetamido-2-methylsulfanyl-5-oxo-8H-pyrido[2,3-d]pyrimidine-6-carboxylate

  • 1005-39-6

    4,6-二氨基-2-甲基巯基嘧啶

  • 36707-44-5

    ethyl 4-acetamido-2-methylsulfanyl-5-oxo-8H-pyrido[2,3-d]pyrimidine-6-carboxylate