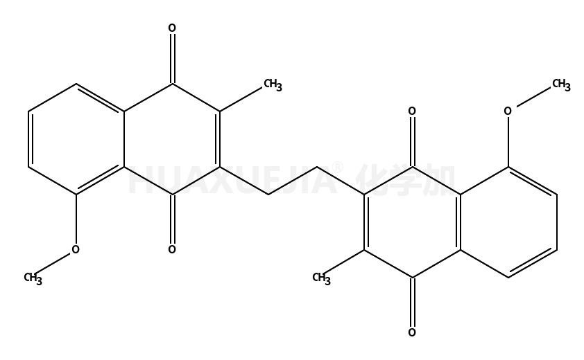
5-methoxy-3-[2-(8-methoxy-3-methyl-1,4-dioxonaphthalen-2-yl)ethyl]-2-methylnaphthalene-1,4-dione

5-methoxy-3-[2-(8-methoxy-3-methyl-1,4-dioxonaphthalen-2-yl)ethyl]-2-methylnaphthalene-1,4-dione 基本信息
CAS号 113720-10-8 分子式 C26H22O6
分子量 430.44900 精确质量  430.14200
PSA  N/A LogP  N/A

合成路线 1

  • 222738-48-9

    222738-48-9

  • ~46%

  • 113720-10-8

    5-methoxy-3-[2-(8-methoxy-3-methyl-1,4-dioxonaphthalen-2-yl)ethyl]-2-methylnaphthalene-1,4-dione

  • 22266-99-5

    5-methoxy-2-methylnaphthalene-1,4-dione

  • 113720-10-8

    5-methoxy-3-[2-(8-methoxy-3-methyl-1,4-dioxonaphthalen-2-yl)ethyl]-2-methylnaphthalene-1,4-dione

  • 481-42-5

    兰雪醌

  • 113720-10-8

    5-methoxy-3-[2-(8-methoxy-3-methyl-1,4-dioxonaphthalen-2-yl)ethyl]-2-methylnaphthalene-1,4-dione