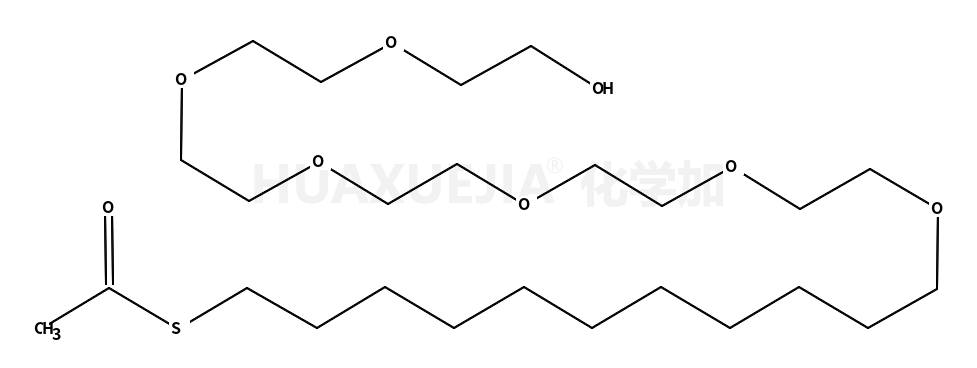
六(乙二醇)单-11-(乙酰巯基)十一烷基醚

六(乙二醇)单-11-(乙酰巯基)十一烷基醚 基本信息
CAS号 130727-53-6 分子式 C25H50O8S
分子量 510.72500 精确质量  510.32300
PSA  N/A LogP  N/A

合成路线 1

  • 130727-48-9

    2-[2-[2-[2-[2-(2-undec-10-enoxyethoxy)ethoxy]ethoxy]ethoxy]ethoxy]ethanol

  • +

  • 507-09-5

    硫代乙酸

  • ~97%

  • 130727-53-6

    六(乙二醇)单-11-(乙酰巯基)十一烷基醚

  • 7766-50-9

    溴代十一碳烯

  • 130727-53-6

    六(乙二醇)单-11-(乙酰巯基)十一烷基醚

  • 2615-15-8

    六甘醇

  • 130727-53-6

    六(乙二醇)单-11-(乙酰巯基)十一烷基醚