欢迎来到化学加!萃聚英才,共享化学!化学加,加您更精彩!
首页
注册入驻
网站资讯
化学加_合成化学产业资源聚合服务平台
www.huaxuejia.cn
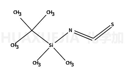
tert-butyl-isothiocyanato-dimethylsilane
tert-butyl-isothiocyanato-dimethylsilane 基本信息
CAS号
89732-55-8
分子式
C7H15NSSi
分子量
173.35100
精确质量
173.06900
PSA
N/A
LogP
N/A
合成路线
共
1
页
1147550-11-5
1147550-11-5
+
18162-48-6
叔丁基二甲基氯硅烷
→
~94%
89732-55-8
tert-butyl-isothiocyanato-dimethylsilane
合成路线