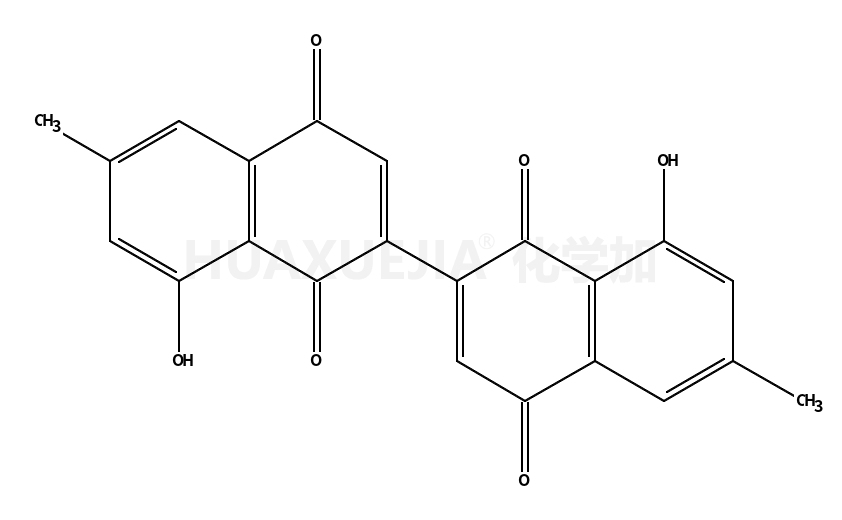
8-hydroxy-2-(8-hydroxy-6-methyl-1,4-dioxonaphthalen-2-yl)-6-methylnaphthalene-1,4-dione

8-hydroxy-2-(8-hydroxy-6-methyl-1,4-dioxonaphthalen-2-yl)-6-methylnaphthalene-1,4-dione 基本信息
CAS号 17734-93-9 分子式 C22H14O6
分子量 374.34300 精确质量  374.07900
PSA  N/A LogP  N/A

合成路线 1

  • 135759-62-5

    135759-62-5

  • ~92%

  • 17734-93-9

    8-hydroxy-2-(8-hydroxy-6-methyl-1,4-dioxonaphthalen-2-yl)-6-methylnaphthalene-1,4-dione

  • 848141-72-0

    1-methoxy-2-methyl-4,5-naphthylene diacetate

  • 17734-93-9

    8-hydroxy-2-(8-hydroxy-6-methyl-1,4-dioxonaphthalen-2-yl)-6-methylnaphthalene-1,4-dione

  • 75445-77-1

    75445-77-1

  • 17734-93-9

    8-hydroxy-2-(8-hydroxy-6-methyl-1,4-dioxonaphthalen-2-yl)-6-methylnaphthalene-1,4-dione

  • 75445-72-6

    75445-72-6

  • 17734-93-9

    8-hydroxy-2-(8-hydroxy-6-methyl-1,4-dioxonaphthalen-2-yl)-6-methylnaphthalene-1,4-dione

  • 75445-63-5

    8-Benzyloxy-4-methoxy-6-methyl-1-naphthol

  • 17734-93-9

    8-hydroxy-2-(8-hydroxy-6-methyl-1,4-dioxonaphthalen-2-yl)-6-methylnaphthalene-1,4-dione

  • 75445-65-7

    1,5-Bis(benzyloxy)-4-methoxy-7-methylnaphthalin

  • 17734-93-9

    8-hydroxy-2-(8-hydroxy-6-methyl-1,4-dioxonaphthalen-2-yl)-6-methylnaphthalene-1,4-dione

  • 75445-60-2

    7-methyl-5-phenylmethoxynaphthalene-1,4-dione

  • 17734-93-9

    8-hydroxy-2-(8-hydroxy-6-methyl-1,4-dioxonaphthalen-2-yl)-6-methylnaphthalene-1,4-dione

  • 75445-59-9

    1,4,8-Tris(acetoxy)-5-chlor-6-methylnaphthalin

  • 17734-93-9

    8-hydroxy-2-(8-hydroxy-6-methyl-1,4-dioxonaphthalen-2-yl)-6-methylnaphthalene-1,4-dione

  • 52431-61-5

    5-chloro-8-hydroxy-6-methylnaphthalene-1,4-dione

  • 17734-93-9

    8-hydroxy-2-(8-hydroxy-6-methyl-1,4-dioxonaphthalen-2-yl)-6-methylnaphthalene-1,4-dione

  • 14787-38-3

    7-甲基-5-羟基萘醌

  • 17734-93-9

    8-hydroxy-2-(8-hydroxy-6-methyl-1,4-dioxonaphthalen-2-yl)-6-methylnaphthalene-1,4-dione

  • 33471-51-1

    1,4,5-Tris(acetoxy)-7-methylnaphthalin

  • 17734-93-9

    8-hydroxy-2-(8-hydroxy-6-methyl-1,4-dioxonaphthalen-2-yl)-6-methylnaphthalene-1,4-dione

  • 59-50-7

    4-氯-3-甲酚

  • 17734-93-9

    8-hydroxy-2-(8-hydroxy-6-methyl-1,4-dioxonaphthalen-2-yl)-6-methylnaphthalene-1,4-dione