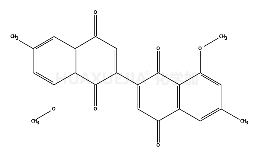
8-methoxy-2-(8-methoxy-6-methyl-1,4-dioxonaphthalen-2-yl)-6-methylnaphthalene-1,4-dione

8-methoxy-2-(8-methoxy-6-methyl-1,4-dioxonaphthalen-2-yl)-6-methylnaphthalene-1,4-dione 基本信息
CAS号 17734-94-0 分子式 C24H18O6
分子量 402.39600 精确质量  402.11000
PSA  N/A LogP  N/A

合成路线 1

  • 75445-89-5

    75445-89-5

  • ~97%

  • 17734-94-0

    8-methoxy-2-(8-methoxy-6-methyl-1,4-dioxonaphthalen-2-yl)-6-methylnaphthalene-1,4-dione

  • 14787-38-3

    7-甲基-5-羟基萘醌

  • 17734-94-0

    8-methoxy-2-(8-methoxy-6-methyl-1,4-dioxonaphthalen-2-yl)-6-methylnaphthalene-1,4-dione

  • 33471-51-1

    1,4,5-Tris(acetoxy)-7-methylnaphthalin

  • 17734-94-0

    8-methoxy-2-(8-methoxy-6-methyl-1,4-dioxonaphthalen-2-yl)-6-methylnaphthalene-1,4-dione

  • 76927-59-8

    (1-methoxy-3-methylbuta-1,3-dienyloxy)-trimethylsilane

  • 17734-94-0

    8-methoxy-2-(8-methoxy-6-methyl-1,4-dioxonaphthalen-2-yl)-6-methylnaphthalene-1,4-dione

  • 202390-66-7

    202390-66-7

  • 17734-94-0

    8-methoxy-2-(8-methoxy-6-methyl-1,4-dioxonaphthalen-2-yl)-6-methylnaphthalene-1,4-dione

  • 75445-59-9

    1,4,8-Tris(acetoxy)-5-chlor-6-methylnaphthalin

  • 17734-94-0

    8-methoxy-2-(8-methoxy-6-methyl-1,4-dioxonaphthalen-2-yl)-6-methylnaphthalene-1,4-dione

  • 52431-61-5

    5-chloro-8-hydroxy-6-methylnaphthalene-1,4-dione

  • 17734-94-0

    8-methoxy-2-(8-methoxy-6-methyl-1,4-dioxonaphthalen-2-yl)-6-methylnaphthalene-1,4-dione

  • 59-50-7

    4-氯-3-甲酚

  • 17734-94-0

    8-methoxy-2-(8-methoxy-6-methyl-1,4-dioxonaphthalen-2-yl)-6-methylnaphthalene-1,4-dione

  • 106-51-4

    苯醌

  • 17734-94-0

    8-methoxy-2-(8-methoxy-6-methyl-1,4-dioxonaphthalen-2-yl)-6-methylnaphthalene-1,4-dione

  • 34555-32-3

    4,8-dimethoxy-6-methylnaphth-1-ol

  • 17734-94-0

    8-methoxy-2-(8-methoxy-6-methyl-1,4-dioxonaphthalen-2-yl)-6-methylnaphthalene-1,4-dione

  • 178949-51-4

    178949-51-4

  • 17734-94-0

    8-methoxy-2-(8-methoxy-6-methyl-1,4-dioxonaphthalen-2-yl)-6-methylnaphthalene-1,4-dione

  • 65565-56-2

    1-methoxy-7-methyl-1,4-naphthoquinone

  • 17734-94-0

    8-methoxy-2-(8-methoxy-6-methyl-1,4-dioxonaphthalen-2-yl)-6-methylnaphthalene-1,4-dione