(3S,5R,8R,9R,10R,14R,17S)-17-(1-羟基-1,5-二甲基-己-4-烯基)-4,4,8,10,14-五甲基-2,3,5,6,7,9,11,12,13,15,16,17-十二氢-1H-环戊二烯并[a]菲-3-酚

(3S,5R,8R,9R,10R,14R,17S)-17-(1-羟基-1,5-二甲基-己-4-烯基)-4,4,8,10,14-五甲基-2,3,5,6,7,9,11,12,13,15,16,17-十二氢-1H-环戊二烯并[a]菲-3-酚 基本信息
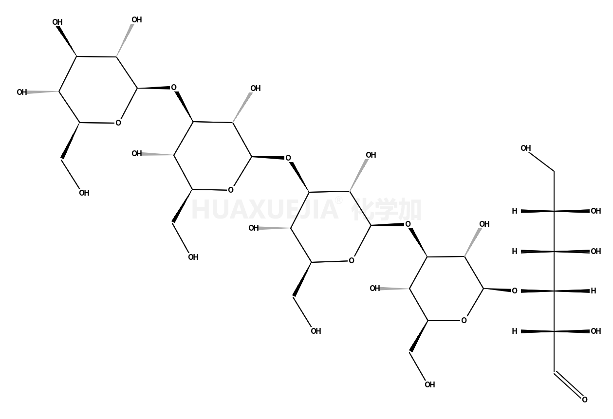
CAS号 23743-55-7 分子式 C30H52O26
分子量 828.71800 精确质量  828.27500
PSA  N/A LogP  N/A

合成路线 1

  • 26212-72-6

    昆布四糖

  • +

  • 59-56-3

    对氟苯甲醇

  • 23743-55-7

    (3S,5R,8R,9R,10R,14R,17S)-17-(1-羟基-1,5-二甲基-己-4-烯基)-4,4,8,10,14-五甲基-2,3,5,6,7,9,11,12,13,15,16,17-十二氢-1H-环戊二烯并[a]菲-3-酚

  • 29842-30-6

    Laminarihexaose

  • 23743-55-7

    (3S,5R,8R,9R,10R,14R,17S)-17-(1-羟基-1,5-二甲基-己-4-烯基)-4,4,8,10,14-五甲基-2,3,5,6,7,9,11,12,13,15,16,17-十二氢-1H-环戊二烯并[a]菲-3-酚

  • +

  • 59-56-3

    对氟苯甲醇

  • 29842-30-6

    Laminarihexaose

  • 26212-72-6

    昆布四糖

  • +

  • 23743-55-7

    (3S,5R,8R,9R,10R,14R,17S)-17-(1-羟基-1,5-二甲基-己-4-烯基)-4,4,8,10,14-五甲基-2,3,5,6,7,9,11,12,13,15,16,17-十二氢-1H-环戊二烯并[a]菲-3-酚

  • 26212-72-6

    昆布四糖

  • 3256-04-0

    1,2,8-三溴二苯并[b,d]呋喃

  • +

  • 23743-55-7

    (3S,5R,8R,9R,10R,14R,17S)-17-(1-羟基-1,5-二甲基-己-4-烯基)-4,4,8,10,14-五甲基-2,3,5,6,7,9,11,12,13,15,16,17-十二氢-1H-环戊二烯并[a]菲-3-酚

  • 3256-04-0

    1,2,8-三溴二苯并[b,d]呋喃

  • 26212-72-6

    昆布四糖

  • +

  • 23743-55-7

    (3S,5R,8R,9R,10R,14R,17S)-17-(1-羟基-1,5-二甲基-己-4-烯基)-4,4,8,10,14-五甲基-2,3,5,6,7,9,11,12,13,15,16,17-十二氢-1H-环戊二烯并[a]菲-3-酚

  • 59-56-3

    对氟苯甲醇

  • 23743-55-7

    (3S,5R,8R,9R,10R,14R,17S)-17-(1-羟基-1,5-二甲基-己-4-烯基)-4,4,8,10,14-五甲基-2,3,5,6,7,9,11,12,13,15,16,17-十二氢-1H-环戊二烯并[a]菲-3-酚

  • 26212-72-6

    昆布四糖

  • 23743-55-7

    (3S,5R,8R,9R,10R,14R,17S)-17-(1-羟基-1,5-二甲基-己-4-烯基)-4,4,8,10,14-五甲基-2,3,5,6,7,9,11,12,13,15,16,17-十二氢-1H-环戊二烯并[a]菲-3-酚

  • 29842-30-6

    Laminarihexaose

  • 23743-55-7

    (3S,5R,8R,9R,10R,14R,17S)-17-(1-羟基-1,5-二甲基-己-4-烯基)-4,4,8,10,14-五甲基-2,3,5,6,7,9,11,12,13,15,16,17-十二氢-1H-环戊二烯并[a]菲-3-酚

  • 59-56-3

    对氟苯甲醇

  • +

  • 497-48-3

    黑曲霉二糖

  • 3256-04-0

    1,2,8-三溴二苯并[b,d]呋喃

  • +

  • 26212-72-6

    昆布四糖

  • 3256-04-0

    1,2,8-三溴二苯并[b,d]呋喃

  • 23743-55-7

    (3S,5R,8R,9R,10R,14R,17S)-17-(1-羟基-1,5-二甲基-己-4-烯基)-4,4,8,10,14-五甲基-2,3,5,6,7,9,11,12,13,15,16,17-十二氢-1H-环戊二烯并[a]菲-3-酚

  • 497-48-3

    黑曲霉二糖

  • 23743-55-7

    (3S,5R,8R,9R,10R,14R,17S)-17-(1-羟基-1,5-二甲基-己-4-烯基)-4,4,8,10,14-五甲基-2,3,5,6,7,9,11,12,13,15,16,17-十二氢-1H-环戊二烯并[a]菲-3-酚