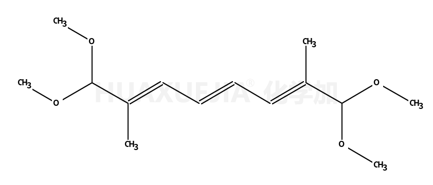
1,1,8,8-tetramethoxy-2,7-dimethylocta-2,4,6-triene

1,1,8,8-tetramethoxy-2,7-dimethylocta-2,4,6-triene 基本信息
CAS号 128759-95-5 分子式 C14H24O4
分子量 256.33800 精确质量  256.16700
PSA  N/A LogP  N/A

合成路线 1

  • 6342-56-9

    1,1-二甲氧基丙酮

  • +

  • 110-57-6

    反式1.4-二氯-2-丁烯

  • ~64%

  • 128759-95-5

    1,1,8,8-tetramethoxy-2,7-dimethylocta-2,4,6-triene

  • 6342-56-9

    1,1-二甲氧基丙酮

  • +

  • 1112-96-5

    Tetraethyl 2-butene-1,4-diphosphonate

  • 128759-95-5

    1,1,8,8-tetramethoxy-2,7-dimethylocta-2,4,6-triene

  • 5056-17-7

    2,7-二甲基-2,4,6-辛三烯二醛

  • +

  • 149-73-5

    原甲酸三甲酯

  • 128759-95-5

    1,1,8,8-tetramethoxy-2,7-dimethylocta-2,4,6-triene