欢迎来到化学加!萃聚英才,共享化学!化学加,加您更精彩!
首页
注册入驻
网站资讯
化学加_合成化学产业资源聚合服务平台
www.huaxuejia.cn
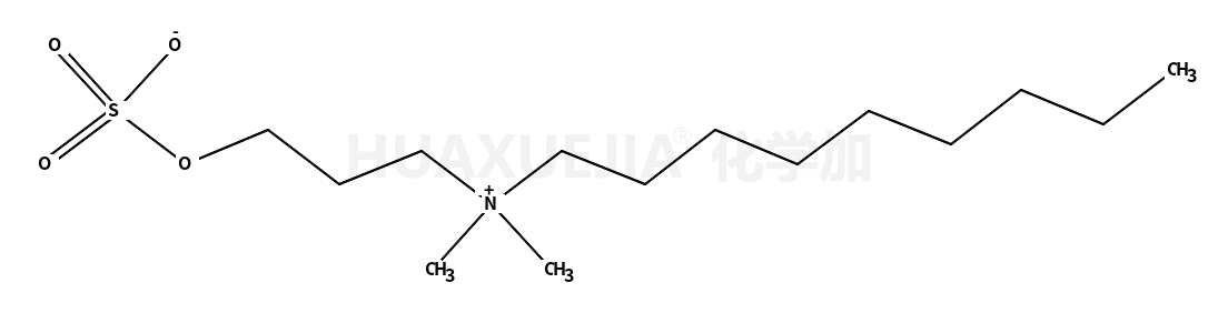
N,N-二甲基-N-[3-(硫代氧代)丙基]-1-壬烷氢氧化铵内盐
N,N-二甲基-N-[3-(硫代氧代)丙基]-1-壬烷氢氧化铵内盐 基本信息
CAS号
92764-21-1
分子式
C14H31NO4S
分子量
309.46500
精确质量
309.19700
PSA
N/A
LogP
N/A
合成路线
共
1
页
17373-27-2
N,N-二甲基壬基胺
+
1073-05-8
1,3-丙二醇环硫酸酯
→
92764-21-1
N,N-二甲基-N-[3-(硫代氧代)丙基]-1-壬烷氢氧化铵内盐
合成路线