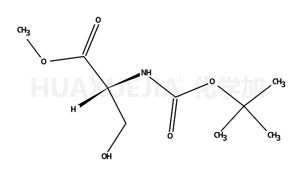
Boc-L-丝氨酸甲酯

Boc-L-丝氨酸甲酯 基本信息
CAS号 2766-43-0 分子式 C9H17NO5
分子量 219.23500 精确质量  219.11100
PSA  N/A LogP  N/A

合成路线 1

  • 67-56-1

    甲醇

  • +

  • 56-45-1

    L-丝氨酸

  • +

  • 24424-99-5

    二碳酸二叔丁酯

  • ~99%

  • 2766-43-0

    Boc-L-丝氨酸甲酯

  • 2788-84-3

    L-丝氨酸甲酯

  • +

  • 24424-99-5

    二碳酸二叔丁酯

  • ~99%

  • 2766-43-0

    Boc-L-丝氨酸甲酯

  • 24424-99-5

    二碳酸二叔丁酯

  • +

  • 5680-80-8

    L-丝氨酸甲酯盐酸盐

  • ~99%

  • 2766-43-0

    Boc-L-丝氨酸甲酯

  • 2788-84-3

    L-丝氨酸甲酯

  • ~97%

  • 2766-43-0

    Boc-L-丝氨酸甲酯

  • 126645-26-9

    L-Serine,N-[(1,1-dimethylethoxy)carbonyl]-O-[(1,1-dimethylethyl)dimethylsilyl]-,methyl ester

  • ~94%

  • 2766-43-0

    Boc-L-丝氨酸甲酯

  • 186581-53-3

    重氮甲烷

  • +

  • 3262-72-4

    BOC-L-丝氨酸

  • ~93%

  • 2766-43-0

    Boc-L-丝氨酸甲酯

  • 3262-72-4

    BOC-L-丝氨酸

  • +

  • 74-88-4

    甲基碘

  • ~93%

  • 2766-43-0

    Boc-L-丝氨酸甲酯

  • 5680-80-8

    L-丝氨酸甲酯盐酸盐

  • +

  • 404586-94-3

    1-叔丁氧基-2-丁氧羰基-1,2-二氢异喹啉

  • ~92%

  • 2766-43-0

    Boc-L-丝氨酸甲酯

  • 5680-80-8

    L-丝氨酸甲酯盐酸盐

  • +

  • 108655-53-4

    1-t-butoxycarbonyl-v-triazolo<4,5-b>pyridine

  • ~91%

  • 2766-43-0

    Boc-L-丝氨酸甲酯

  • 24424-99-5

    二碳酸二叔丁酯

  • +

  • 88099-67-6

    N,N-二苯甲基-L-丝氨酸甲酯

  • ~89%

  • 2766-43-0

    Boc-L-丝氨酸甲酯

  • 80963-10-6

    N-Boc-O-benzyl-L-serine methyl ester

  • ~88%

  • 2766-43-0

    Boc-L-丝氨酸甲酯

  • 850848-18-9

    (S)-2-tert-butyloxycarbonylamino-3-[2-(prenyloxymethyl)benzoyloxy]propionic acid methyl ester

  • ~84%

  • 2766-43-0

    Boc-L-丝氨酸甲酯

  • 67-56-1

    甲醇

  • +

  • 3262-72-4

    BOC-L-丝氨酸

  • ~72%

  • 2766-43-0

    Boc-L-丝氨酸甲酯

  • 1187581-93-6

    1187581-93-6

  • ~67%

  • 2766-43-0

    Boc-L-丝氨酸甲酯

  • 186581-53-3

    重氮甲烷

  • +

  • 56-45-1

    L-丝氨酸

  • +

  • 24424-99-5

    二碳酸二叔丁酯

  • 2766-43-0

    Boc-L-丝氨酸甲酯

  • 56-45-1

    L-丝氨酸

  • +

  • 24424-99-5

    二碳酸二叔丁酯

  • 2766-43-0

    Boc-L-丝氨酸甲酯

  • 34619-03-9

    ditert-butyl carbonate

  • 2766-43-0

    Boc-L-丝氨酸甲酯

  • 1205122-02-6

    1205122-02-6

  • +

  • 76-05-1

    三氟乙酸

  • 954143-62-5

    954143-62-5

  • +

  • 2766-43-0

    Boc-L-丝氨酸甲酯

  • 2788-84-3

    L-丝氨酸甲酯

  • +

  • 34619-03-9

    ditert-butyl carbonate

  • 2766-43-0

    Boc-L-丝氨酸甲酯

  • 58632-95-4

    2-(叔丁氧羰基氧亚氨基)-2-苯乙腈

  • 2766-43-0

    Boc-L-丝氨酸甲酯

  • 1026816-02-3

    1026816-02-3

  • 2766-43-0

    Boc-L-丝氨酸甲酯

  • 288-32-4

    咪唑

  • +

  • 33403-97-3

    N-(4-吡啶甲基)乙胺

  • +

  • 18162-48-6

    叔丁基二甲基氯硅烷

  • 2766-43-0

    Boc-L-丝氨酸甲酯

  • 78545-07-0

    O-benzoyl-N-(tert-butoxycarbonyl)-L-serine

  • 2766-43-0

    Boc-L-丝氨酸甲酯

  • 24424-99-5

    二碳酸二叔丁酯

  • 2766-43-0

    Boc-L-丝氨酸甲酯

  • 3262-72-4

    BOC-L-丝氨酸

  • +

  • 584-08-7

    碳酸钾

  • 2766-43-0

    Boc-L-丝氨酸甲酯