欢迎来到化学加!萃聚英才,共享化学!化学加,加您更精彩!
首页
注册入驻
网站资讯
化学加_合成化学产业资源聚合服务平台
www.huaxuejia.cn
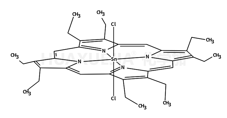
Phthalate Ionophore I
Phthalate Ionophore I 基本信息
CAS号
25777-43-9
分子式
C36H44Cl2N4Sn
分子量
722.36800
精确质量
722.19600
PSA
N/A
LogP
N/A
合成路线
共
1
页
2683-82-1
2,3,7,8,12,13,17,18-八乙基-21H,23H-卟吩
→
25777-43-9
Phthalate Ionophore I
合成路线