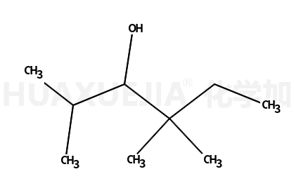
3-Hexanol, 2,4,4-trimethyl-

3-Hexanol, 2,4,4-trimethyl- 基本信息
CAS号 66793-92-8 分子式 C9H20O
分子量 144.25884 精确质量  144.15142
PSA  N/A LogP  N/A

合成路线 1

  • 64-17-5

    乙醇

  • +

  • 34575-34-3

    2,4,4-trimethyl-hexan-3-one

  • 66793-92-8

    2,4,4-trimethylhexan-3-ol

  • 2094-75-9

    2,2-二甲基丁醛

  • +

  • 920-39-8

    异丙基溴化镁

  • 66793-92-8

    2,4,4-trimethylhexan-3-ol

  • 5856-77-9

    2,2-二甲基丁酰氯

  • +

  • 920-39-8

    异丙基溴化镁

  • 1185-33-7

    2,2-二甲基-1-丁醇

  • +

  • 66793-92-8

    2,4,4-trimethylhexan-3-ol

  • 565-80-0

    2,4-二甲基-3-戊酮

  • 66793-92-8

    2,4,4-trimethylhexan-3-ol

  • 96-22-0

    二乙基酮

  • 66793-92-8

    2,4,4-trimethylhexan-3-ol

  • 34575-34-3

    2,4,4-trimethyl-hexan-3-one

  • 66793-92-8

    2,4,4-trimethylhexan-3-ol

  • 2094-75-9

    2,2-二甲基丁醛

  • +

  • 920-39-8

    异丙基溴化镁

  • 1185-33-7

    2,2-二甲基-1-丁醇

  • +

  • 66793-92-8

    2,4,4-trimethylhexan-3-ol

  • 28276-08-6

    1,1-二甲基丙基氯化镁

  • 66793-92-8

    2,4,4-trimethylhexan-3-ol

  • 1185-33-7

    2,2-二甲基-1-丁醇

  • 66793-92-8

    2,4,4-trimethylhexan-3-ol