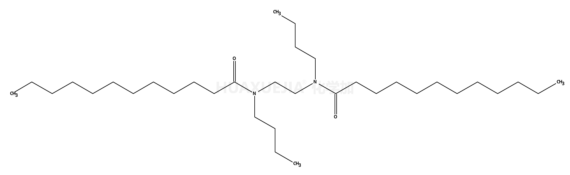
N-butyl-N-[2-[butyl(dodecanoyl)amino]ethyl]dodecanamide

N-butyl-N-[2-[butyl(dodecanoyl)amino]ethyl]dodecanamide 基本信息
CAS号 61797-54-4 分子式 C34H68N2O2
分子量 536.91600 精确质量  536.52800
PSA  N/A LogP  N/A

合成路线 1

  • 143-07-7

    月桂酸

  • +

  • 4013-95-0

    N1,n2-二丁基乙烷-1,2-二胺

  • 61797-54-4

    N-butyl-N-[2-[butyl(dodecanoyl)amino]ethyl]dodecanamide