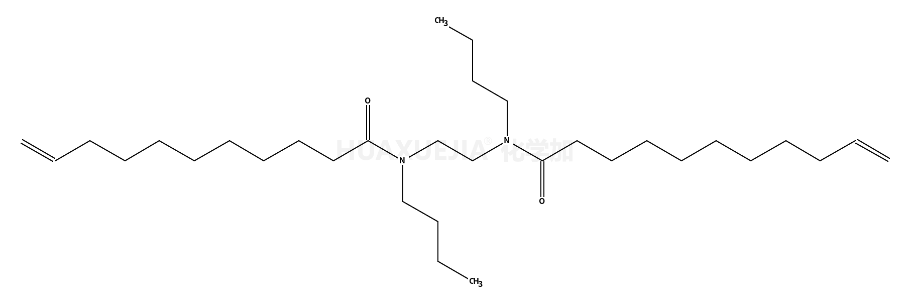
N-butyl-N-[2-[butyl(undec-10-enoyl)amino]ethyl]undec-10-enamide

N-butyl-N-[2-[butyl(undec-10-enoyl)amino]ethyl]undec-10-enamide 基本信息
CAS号 61797-55-5 分子式 C32H60N2O2
分子量 504.83100 精确质量  504.46500
PSA  N/A LogP  N/A

合成路线 1

  • 4013-95-0

    N1,n2-二丁基乙烷-1,2-二胺

  • +

  • 112-38-9

    10-十一烯酸

  • 61797-55-5

    N-butyl-N-[2-[butyl(undec-10-enoyl)amino]ethyl]undec-10-enamide