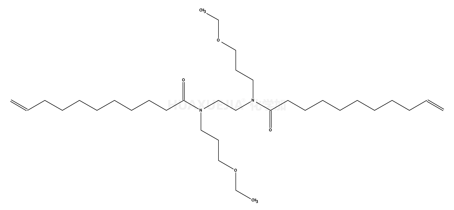
N-(3-ethoxypropyl)-N-[2-[3-ethoxypropyl(undec-10-enoyl)amino]ethyl]undec-10-enamide

N-(3-ethoxypropyl)-N-[2-[3-ethoxypropyl(undec-10-enoyl)amino]ethyl]undec-10-enamide 基本信息
CAS号 61797-75-9 分子式 C34H64N2O4
分子量 564.88300 精确质量  564.48700
PSA  N/A LogP  N/A

合成路线 1

  • 112-38-9

    10-十一烯酸

  • +

  • 61798-22-9

    N,N'-bis(3-ethoxypropyl)ethane-1,2-diamine

  • 61797-75-9

    N-(3-ethoxypropyl)-N-[2-[3-ethoxypropyl(undec-10-enoyl)amino]ethyl]undec-10-enamide