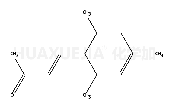
4-(2,4,6-三甲基-3-环己烯-1-基)-3-丁烯-2-酮

4-(2,4,6-三甲基-3-环己烯-1-基)-3-丁烯-2-酮 基本信息
CAS号 67801-38-1 分子式 C13H20O
分子量 192.29700 精确质量  192.15100
PSA  N/A LogP  N/A

合成路线 1

  • 1891-67-4

    2,6-Octadienal, 3,6,7-trimethyl-

  • +

  • 67-64-1

    丙酮

  • 67801-38-1

    4-(2,4,6-三甲基-3-环己烯-1-基)-3-丁烯-2-酮

  • 1423-46-7

    2,4,6-三甲基-3-环己烯-1-羧醛

  • +

  • 67-64-1

    丙酮

  • 67801-38-1

    4-(2,4,6-三甲基-3-环己烯-1-基)-3-丁烯-2-酮

  • 1118-58-7

    2-甲基-1,3-戊二烯

  • 67801-38-1

    4-(2,4,6-三甲基-3-环己烯-1-基)-3-丁烯-2-酮

  • 54305-88-3

    2,3-dibromo-2-methylpentane

  • 67801-38-1

    4-(2,4,6-三甲基-3-环己烯-1-基)-3-丁烯-2-酮

  • 625-27-4

    2-甲基-2-戊烯

  • 67801-38-1

    4-(2,4,6-三甲基-3-环己烯-1-基)-3-丁烯-2-酮

  • 107-41-5

    2-甲基-2,4-戊二醇

  • 67801-38-1

    4-(2,4,6-三甲基-3-环己烯-1-基)-3-丁烯-2-酮

  • 67-64-1

    丙酮

  • 67801-38-1

    4-(2,4,6-三甲基-3-环己烯-1-基)-3-丁烯-2-酮